Usage Guide

Contents

Usage Guide#

Basics#

C++ and Python layers#

The core software for kdFlex is in C++ (C++20 standard) and uses an object-oriented design. Additionally Python bindings that mirror the C++ API are available as well. The feature complete Python bindings provide an excellent avenue for developing and prototyping simulation software. The Python interface is especially useful for scripting, interacting with the simulation and introspection of the simulation content. This combination of languages provides a best-of-both-worlds, where users can setup and introspect their simulation using Python while obtaining the high performance of compiled C++.

The C++ object public interfaces are mirrored at the Python level and can be used for scripting and interacting with the software. The Python modules are included in the Karana Python package.

Simulations are not required to use Python at all, and can be written entirely in C++ if desired. When using the C++ API, it is recommended that users build with cmake, as this provides the simplest way to compile/link code correctly. A sample CMakeLists.txt file is provided below.

# CMakeLists.txt for building script.cpp
cmake_minimum_required(VERSION 3.25)
project(my_project)

# Find the Karana package
set(Eigen3_DIR /path/to/eigen3/cmake/files) # This should be eigen 5.0
find_package(Karana REQUIRED)

# Optional: Enable compile commands. This is used by LSPs.
set(CMAKE_EXPORT_COMPILE_COMMANDS ON)

# Example binary 
add_executable(my_bin main.cc)
target_link_libraries(1_link Karana::kdflex)

It is important to note that the version of Eigen used is 5.0.0. Most package managers have a version of Eigen that is outdated by a few years and is missing critical bug fixes. Users should clone the Eigen package at this commit using

git clone --depth 1 --branch 5.0.0 --single-branch https://gitlab.com/libeigen/eigen.git eigen_5.0.0

The package can be built and installed using cmake. For example, by using

cmake -DCMAKE_INSTALL_PREFIX=/path/to/desired/install/dir -B build .
cd build
make install -j 10

After installation, the Eigen cmake files will be available at the installed location under share/eigen3/cmake.

Of course, C++ applications can be built without cmake if desired. When doing so, users will need to include the header files in /usr/include/Karana and link against libkdflex.so in /usr/lib. In addition, they will need to include headers for Eigen (again, these need to be the header files of Eigen 5.0) and spdlog, as well as link against libspdlog and the libfmt libraries. Furthermore, they will need to use the following compiler flags: -DFMT_SHARED -DSPDLOG_COMPILED_LIB -DSPDLOG_FMT_EXTERNAL -DSPDLOG_SHARED_LIB -std=gnu++20 -msse -msse2 -mssse3 -msse4.1 -msse4.2 -mavx -mavx2.

Creating and discarding objects#

The general convention in kdFlex is to use create() static factory methods to create new instances of objects - instead of calling the constructor. Virtually all of the classes have implementations of this method. So to create an instance of class A call the static A::create() method. On the other hand, to discard an object instance you just need to call the object’s obj->discard() method (instead of calling the destructor). Thus an instance of the Karana.Dynamics.PhysicalBody can be created by calling Karana.Dynamics.PhysicalBody.create() method, and can be discarded by calling the Karana.Core.discard() method.

Usage tracking of objects#

kdFlex supports configuration changes to the system to support the simulation of complex scenarios where multibody systems can undergo topological changes from the creation and removal of bodies, nodes, hinges etc. kdFlex uses shared pointers and their associated reference counting to avoid use after free errors. However, this is not sufficient since having dependencies linger past the stage where the object is no longer supposed to exist introduces vulnerabilities. kdFlex implements more rigorous usage tracking that requires all dependencies on an object to have been removed before the object can be discarded. Enforcement of such strict housekeeping can take a little get used to, but helps ensure that complex configuration changes can be carried out robustly at run-time within simulations. Such usage tracking is applied at both the C++ and Python levels. The example simulations such as 2 link pendulum (basic) include a cleanup section at the end where objects are explicitly discarded to ensure clean shutdown at the end of a simulation.

In the event that a user runs into issues discarding objects and cannot find a way forward, assistance from a Karana employee is always available via the forum or tickets system. However, in the case that a user must move forward immediately and cannot wait for assistance, the Karana.Core.DebugManager.enable_usage_tracking_map_errors can be used to disable usage tracking: see the DebugManager section for details.

The dump() method#

Most kdFlex classes implement specializations of the Karana.Core.Base.dump() method. This method can be used for introspection to display useful information specifically about an object instance.

Math layer#

kdFlex builds on the Eigen math library basic classes, and extends and sub-classes them as needed. The derived classes are available under the Karana::Math namespace. The Karana::Math::Vec, Karana::Math::Vec3, Karana::Math::Mat, Karana::Math::Mat33 etc are simple aliases around the basic Eigen array classes.

While vectors are matrices at the C++ level correspond to the Eigen classes, their corresponding Python equivalents are numpy arrays. Methods that take and return Eigen arrays at the C++ level, take and return numpy arrays at the Python level. This by far is the largest difference between the C++ and Python APIs. Otherwise, with few exceptions, the Python methods consistently replicate the C++ class and method interfaces.

The Math layer also defines a special NaN value, Karana::Math::notReadyNaN, for use in places where a numerical variable is needed but its value is has not yet been initialized. The function Karana::Math::isNotReadyNaN() checks if a given number has this special value. When not ready, the math objects in kdFlex will be populated with this special value to avoid undefined behavior or confusion with NaNs resulting from bad numerics.


Frames Layer#

Pose representations#

kdFlex supports a number of types of attitude representations including Karana.Math.RotationMatrix for direction cosine rotation matrices, Karana.Math.RotationVector for rotation vectors, and Karana.Math.UnitQuaternion for unit quaternions. The Karana.Math.EulerAngles attitude representation at the Python level and Eigen::AngleAxis and Eigen::EulerAngles attitude representations at the C++ level are also available for use. Unit quaternions are the ones used most broadly in kdFlex since they are free of singularities and computationally more efficient. Methods are available to transform between these different representations. While unit quaternions keep the vector and scalar components separately, in cases where they are combined, the convention is to keep the scalar component last after the vector elements.

kdFlex uses the passive approach for attitude representations. Thus the product \({}^a v = {}^a R_b {}^b v\) denotes the conversion of the the coordinates of the \(v\) vector from the \(b\) frame to the \(a\) frame.

Rotations

Accumulation of rotations across frames#

Since unit quaternions are not a minimal attitude representation, the minimal coordinate rotation vector attitude representations are used instead as coordinates when parameterizing the relative attitude for Karana.Dynamics.SphericalSubhinge instances for use with numerical integrators. Global minimal coordinate attitude representations are know to have singularities, and the rotation vector attitude representation is no exception. Switching and re-centering charts is a way when in the neighborhood of singularities is a way to handle the singularities in practice. The sanitizeCoords() method can be called for any physical subhinges to re-center its charts.

The Karana.Math.HomTran class is for homogeneous transforms that represent the relative relative pose across frames. Homogeneous transforms include both positional and orientation components.

Homogeneous transform

The homogeneous transform#

Unit quaternions are used for the attitude representation within homogeneous transforms.

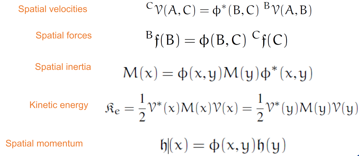
Spatial notation#

kdFlex uses spatial notation throughout the code base. Spatial vectors are 6 dimensional quantities with angular and linear components. The Karana.Math.SpatialVector class is used for spatial vector instances.

Spatial vectors

Spatial velocity and spatial force vectors#

By convention, the angular component comes first within a spatial vector, followed by the the linear component. Thus spatial velocities contain angular velocities followed by linear velocities, and spatial forces have the momentum component first, followed by the linear force component. Spatial notation also extends to spatial inertias which combine the inertia tensor, with the CM offset vector and the body mass. The {py:class}`Karana.Math.SpatialInertia} class is available for spatial inertia instances. For the 3x3 rotational inertia tensors, the kdFlex convention is to use the negative integral convention for the off-diagonal terms, so that the matrix is always positive semi-definite.

Spatial inertia matrix

The spatial inertial matrix#

A noteworthy fact is that homogeneous transform classes have the phi() and phiStar() methods for carrying out rigid body transformations of spatial quantities.

The "phi" rigid body transformation matrix

The phi rigid body transformation matrix#

The following summarizes expressions for rigid body transformations of spatial velocities, accelerations, forces, momenta and inertias that can be carried succinctly using these methods.

Rigid body transformations

Rigid body transformation examples#


Coordinate Frames#

kdFlex has a general purpose frames layer consisting of a directed tree of frames. The frame family of classes form a foundational layer for the multibody classes. Each Karana.Frame.Frame instance represents a node in a tree of frames managed by a Karana.Frame.FrameContainer instance. A Karana.Frame.FrameToFrame instance is defined by a pair of from/to frame instances. The edges in the frame tree are defined by Karana.Frame.EdgeFrameToFrame instances. Each edge contains

  • the relative pose across the edge defined by a homogeneous transform

  • the relative spatial velocity across the edge defined by a spatial vector as observed from and represented in the oframe

  • the relative spatial acceleration across the edge defined by a spatial vector as observed from and represented in the oframe

An application is responsible for setting the pose, spatial velocity and spatial acceleration for each of the edges in the frames tree. The frames layer provides support for creating frame-to-frame instances - referred to as chains - from arbitrary oframe/pframe pairs of frames. Applications can query chain instances for the relative pose, spatial velocity and spatial acceleration across the oframe/pframe pair for the chain. The chain instances internally combine the contributions by the appropriate edges along the connecting path to compute the overall requested data across the path. The Karana.Frame.ChainedFrameToFrame chains can be defined using arbitrary oframe/pframe frame pairs from the frames tree. The Karana.Frame.OrientedChainedFrameToFrame chains can only be used when the oframe is an ancestor of the pframe frame.

Creating a frame container#

We start off the creation of a frames layer by creating a frame container by calling its create() static method. This creates a frame container with a single root frame that serves as the anchor for the rest of the frames in the system.

frames layer

The frames layer#

Additional frames can be created by calling the frame create() static method. Each new frame needs to be attached to a frame in the frames tree. This can be done by creating a frame-to-frame edge by calling the Karana.Frame.PrescribedFrameToFrame.create() method. This method takes a parent and unattached child frame arguments and attaches the child to the parent in the tree. The first (i.e. the “from”) frame in a frame-to-frame is referred to as the oframe frame, and the second (i.e. the “to”) frame is referred to as the pframe frame. That o comes before p alphabetically mnemonic can be helpful to remember this naming convention. While these are the basic steps to build up the frame tree, other steps, such as adding bodies and hinges, also add frames to the frame tree. Once the frames tree has been built, the frame container ensureHealthy() method must be called to finalize the tree so that it is ready for use. A frame can be looked up by name using the frame container’s lookupFrame() method. Calling a frame’s dumpFrameTree() methods displays the frame tree hierarchy starting with the frame. The following is example Python code for creating a frame container, adding frame instances and attaching them.

# create a frame container 
fc = FrameContainer.create()
# get the root frame 
root_frame = fc.root()
# create a new frame
frmA = Frame.create("frameA", fc)
# attach the new frame to the root frame
f2fA = PrescribedFrameToFrame(root_frame, frmA)
# create a second frame
frmB = Frame.create("frameB", fc)
# attach the B frame to the A frame
f2fB = PrescribedFrameToFrame(frmA, frmB)
# finalize the frame container once the structural changes are done
fc.ensureHealthy()
# display the current frame hierarchy 
root_frame.dumpFrameTree()

A frame can be detached from the frame tree by deleting its edge:

# get the edge
e = frm.edge()
# delete the edge
e.discard()
# verify that the edge is gone
assert not frm.edge()

A frame can be reattached by creating a new Karana.Frame.PrescribedFrameToFrame edge connecting it to another parent frame. Note that a frame container cannot be made healthy(via its ensureHealthy() method) if there are any unattached frames in the system.

Edge relative data#

The application is only responsible for setting the edge relative transform spatial velocity and spatial acceleration values. The relative homogeneous transform for an edge frame-to-frame can be set using its setRelTransform() method, the relative spatial velocity using its setRelSpVel() method, and the relative spatial acceleration via its setRelSpAccel() method. The following Python code illustrates how to set the edge data for the frame creation example above:

# set the edge transform for frmA
f2fA.setRelTransform(HomTran(UnitQuaternion(1, 0, 0, 1), [1,2,3]))
# set the edge relative spatial velocity for frmA
f2fA.setRelSpVel(SpatialVector([3, 4, 5], [1,2,3]))
# set the edge relative spatial acceleration for frmA
f2fA.setRelSpAccel(SpatialVector([4, 5, 1], [.1,0,.6]))

For some frame-to-frame edges, the pose, velocity, acceleration data is fixed and needs to be set just once (e.g., for rigidly attached frames). More generally, callbacks can be registered with an frame-to-frame edge to automatically update the transform and related data. This callback mechanism is used for auto-updating frame-to-frame edge data for subhinges after coordinate changes, and changes to ephemeris time for Spice edge frame-to-frame etc.

Ephemerides frames#

Karana.Frame.SpiceFrame class is a specialized frame class for frames associated with celestial and other bodies for ephemerides. For instance, these frames are associated with celestial bodies in the solar system such as the Sun, the Earth, the Moon, Mars etc. The Karana.Frame.SpiceFrameToFrame class is for edges defined by SpiceFrame oframe/pframe pairs. The motion of a Spice frame can queried from ephemeris kernels from the JPL NAIF toolkit. The Karana.Frame.SpiceFrame.lookupOrCreate() method can be used to create such a frame using NAIF body and frame ids. The Karana.Frame.SpiceFrameToFrame edges are created from pairs of Spice frames instances. The data for the Karana.Frame.SpiceFrameToFrame edges is computed for the specified time epoch from the loaded NAIF kernels. Once created, these Spice frame instances become a part of the frames tree, and thus can be used seamlessly with any other frame in the frames layer. Thus for example, querying the direction of the sun, or the moon from a camera or a sun sensor attached to a terrestrial platform simply requires the creation of the Spice frame for the relevant celestial bodies, after which relative transform queries from any other frame such as the camera can be made directly. The Spice frames example notebook contains a celestarium example to illustrate creating frame container and frame instances and the use of Spice frames.

Vector time derivatives#

It is important to keep in mind that there are potentially four frames involved when computing time derivatives of vectorial quantities for velocities and accelerations. These have to carefully handled in the presence of rotating frames as is common place for multibody systems. These four frames are:

  • the first two are the from and to frames that are referred to as the oframe/pframe frame pair.

  • the next frame is the observing frame, i.e. the frame in which the oframe/pframe relative quantity whose derivative is being taken is represented. The observing frame often is the same as the oframe, but that is not a requirement.

  • the fourth frame is the representation frame, i.e. the frame in which the derivative quantity (which is itself a vector) is represented. Often this representation frame is the same as the observing frame, but this is again not a requirement.

kdFlex provides the frame-to-frame
relTransform(), relSpVel(), and relSpAccel() methods to return the relative pose, spatial velocity and spatial acceleration respectively of the oframe/pframe pair frame-to-frame as observed from and represented in the oframe frame. The kdFlex frame layer convention is that the oframe is the observing and representation frame for the quantities returned by these methods. There are additional methods available to transformation the data into alternative observing and derivative frame choices (see the Changing observer and derivative frame section). Another noteworthy observation is that with rotating frames, there are Coriolis acceleration terms when working with accelerations, and their specific values depends on the specific choices of the oframe, pframe, observing and representation frame.

Arbitrary frame pair relative data#

The frames layer supports on demand computation of relative pose, spatial velocity, and spatial acceleration for any pair of frames in the system. The frame pair may be on arbitrary branches, and the connecting path may involve traversing edges in the opposite direction. Combining the edge relative transform values along the path is taken care of by the frames layer for each of the transform, velocity and acceleration levels.

combining spatial velocities

Combining spatial velocities across frames#

This combination process takes into account the transformations needed to combine data from the different oframe, pframe, observing and representation frames encountered along the path.

Calling a frame’s (the from/oframe frame) frameToFrame() method with a to/pframe frame argument will return a Karana.Frame.ChainedFrameToFrame frame-to-frame chain instance with information about the path connecting its oframe/pframe pair. The relTransform() method can be called on the frame-to-frame chain to get the relative transform for the frame pair, the relSpVel() method for the relative spatial velocity, and relSpAccel() method for the relative spatial acceleration of the pframe with respect to the oframe, with the oframe also serving as the observing and representation frame. The following code shows how to create a chain and query the chain’s relative pose etc data for the above frame creation example:

# get the root/frmB frame to frame chain
f2f = root.frameToFrame(frameB)
# get the relative transform for the chain
T = f2f.relTransform()
# get the relative spatial velocity for the chain
V = f2f.relSpVel()
# get the relative spatial acceleration for the chain
A = f2f.relSpAccel()
# get the oframe and pframe for the chain
of = f2f.oframe()
pf = f2f.pframe()

The user is also free to create chains such as frameB.frameToFrame(root) where the pframe is an ancestor of the oframe, or even on a different branch altogether. It is important to appreciate that this chain’s relative data can well be non-zero, because even though the root frame is the anchor (and does not move), the root frame will appear to move when observed from another moving frame. The frame’s frameToFrame() method first checks whether the required frame-to-frame instance already exists or needs to be created, and creates one if necessary. For applications that have a recurring need for a specific frame-to-frame, it is a good practice to cache the frame-to-frame instance locally to avoid the costs from repeated look ups.

Changing observer and derivative frame#

By convention, the frame-to-frame relSpVel() and relSpAccel() methods compute quantities relative to the oframe and with the oframe being the observer frame. Additional methods are available for switching to an alternative observer frame for vector derivatives. The frame-to-frame pframeObservedRelSpVel() and pframeObservedRelSpAccel() methods return the oframe/pframe relative spatial velocity and acceleration respectively with the pframe being the observer frame.

The frame-to-frame toPframeRelativeSpVel() and toPframeRelativeSpAccel() methods go further and are handy methods for transforming hypothetical oframe relative spatial velocity and acceleration derivatives into pframe relative ones.

The frame-to-frame toOframeObserved() method can be used to transform arbitrary pframe observed 3-vector derivative into an oframe observed vector derivative. Thus assume that we have frame A, a 3-vector \(X\) and its A observed time derivative Xdot_A. To convert this derivative into another frame B observed derivative. Xdot_B, run

 Xdot_B = B.frameToFrame(A).toOframeObserved(X, Xdot_A)

This method is general can be used for both spatial velocity and acceleration quantities.

Remarks on frames#

Frames are typically created to track locations of interest in a simulation where bodies are in motion, and subhinges are articulating. The motion of some of the frames may be driven by the dynamics of bodies being simulated, while in other cases the motion may be driven by sources such as ephemeris which defines the motion of celestial bodies over time. A frame layer that uniformly includes all of the entities of interest in a simulation allows users to seamlessly make queries about the relative motion of one frame with respect to another for frames from diverse and disparate sources. Examples of specializations of frame classes are bodies and body node classes. Subhinges are specializations of edge frame-to-frame classes, while body hinges are specializations of. oriented, chained frame-to-frame classes. It is thus trivial for example to query the relative transform or velocity of a frame on one vehicle with respect to another even when there are several moving frames in between. The frames layer relieves applications from having to implement custom code for making such frame-to-frame queries. – bespoke implementations that can often be fragile and error prone.

It is worth remembering that the structure of a frame tree is not unique. The only requirement is that the edge transform and related values be set correctly for the specific frame tree structure.

In practice, there can be hundreds if not thousands of frames in a simulation. Keeping the frame to frame data updated for all frame pair combinations in the frame tree at all times is impractical. Therefore, the frames layer uses an on demand, lazy computation model that computes relative frame pair values on demand. There is also a built in data-caching capability that avoids recomputing frame to frame data that have not changed.


Multibody Layer#

Physical bodies and hinges#

In kdFlex, a multibody system is an instance of the Karana.Dynamics.Multibody class. The multibody representation consists of a tree or graph of physical bodies connected by hinges that define their permissible relative motion. Before turning to the process for creating multibody instances in the Creating a tree multibody system section, we first describe the bodies and hinges that populate such multibody models. kdFlex supports a number of classes for different body types derived from the Karana.Dynamics.BodyBase class. The different body types are:

Note that the physical body class is sub-classed from the Frame class, and thus physical body instances are also frames with additional attributes such as mass properties. We will use the physical body terminology for concepts that only apply to physical bodies, and just body terminology for ones that even apply to compound bodies.

Multibody representations#

Within kdFlex, physical body instances are connected in parent/child relationship via Karana.Dynamics.PhysicalHinge hinge instances. The physical body members of a multibody system are organized in a tree structure, with each physical body having at most a single parent physical body.

A multibody graph system’s closed-chain topology is represented as the combination of a physical body tree together with an additional set of cut-joints defined as Karana.Dynamics.LoopConstraintCutJoint hinge-loop-constraint instances (see Cut-Joint constraints section). For regular serial and tree topology multibody systems, the set of constraints is empty. Such graph representations are not unique. As discussed in Cut-Joint constraints section, physical hinge and cut-joint loop constraint represent complementary ways of characterizing the permissible motion between nodes on physical bodies, with a physical hinge providing an explicit way, and cut-joint loop constraint providing an alternative implicit way. While a physical hinge instance can be replaced with an equivalent cut-joint loop constraint instance, the converse is not always possible without violating the tree-topology structure requirement for physical bodies and hinges.

Among the possible graph representations for a multibody system, at one extreme is a representation where all physical body are independent and connected to the root via a 6-dof hinge. Thus the physical body instances do not have children, and the motion constraints on each physical body is defined via a set of cut-joint loop constraint instances. We refer to such a multibody representation as a Fully Augmented (FA) model. FA models are also referred to as absolute coordinate multibody models in the literature.

At the other end of the spectrum is a multibody graph representation consisting of a maximal spanning tree of physical bodies connected in a tree-topology structure via a set of inter-body physical hinge instances, together with a minimal set of cut-joint loop constraint for cut-joints. We refer to such a multibody representation as a Tree Augmented (TA) model. Note that converting all the physical hinge instances in a TA model representation into cut-joint loop constraint instances turns it into an FA model representation. Between the span of representations book-ended by the FA and TA representations lie a whole range of intermediate representations where only a subset of the physical hinge instances are converted into cut-joint loop constraint instances.

The number of degrees of freedom (dofs) in a multibody system is defined by the difference between the number of generalized velocity coordinates (see Generalized Q, U etc coordinates section) for the multibody system, and the number of constraints on the system. The number of dofs is invariant for a multibody system across the different representations. This does imply that the number of coordinates and the number of constraints rise and fall together across different multibody representations since their difference is fixed.

kdFlex supports both FA and TA multibody representations, and arbitrary intermediate versions where some of the physical hinges in a TA model are replaced with cut-joint loop constraint instances. Within this set of multibody representations, the TA model requires the smallest number of coordinates to describe the system configuration (and thus also the smallest number of constraints). The computational cost of the kdFlex SOA based algorithms typically increases with the number of coordinates, and thus it is advantageous, and the default, to use TA multibody representations to the degree possible. There are methods available to transform among multibody representations. In contrast with kdFlex, most general-purpose multibody dynamics tools favor the FA multibody representations because of its simplicity. However, this simplicity comes with a large computational cost. The SOA methodology provides tools to manage the increased complexity of TA models, and take advantage of minimal coordinate representations to develop fast computational dynamics algorithms. kdFlex uses these SOA-based algorithms and thus favors TA model representations by default.

multibody representations

Representation options for a multibody system#

While TA models having a smaller number of coordinates when compared with FA models, TA models are not minimal coordinates when there are loop and coordinate constraints. There is yet another multibody representation, referred to as Constraint Embedding (CE) that is truly minimal. CE models are an advanced topic, that we defer documentation for later.

Body nodes#

The Karana.Dynamics.Node class is used for nodes that represent locations of interest on a physical body. Once a physical body has been created, node node instances can be created on the physical body using the Karana.Dynamics.Node.lookupOrCreate() static method. This class is derived from the Karana.Frame.Frame class and the node instances are thus also frame instances - albeit attached to a parent physical bodies. One can think of a node as the special type of a frame that is directly attached to a physical body.

Node may be used to attach other physical bodies, or represent attachment points for sensors and actuators attached to the parent physical body. A node’s setBodyToNodeTransform() method can be used to set the (undeformed) location and orientation of a node on its parent physical body. Since each node is also a frame, it is a simple matter to query a node’s pose, velocity etc. information relative to any other frame using the frames layer (see Coordinate Frames section). Selected nodes can be designated as ones that can apply spatial forces on the body, and these nodes are referred to as force nodes. Nodes that serve as attachment points for actuator devices (e.g., thrusters) that apply forces on a physical body must be designated as force nodes or else the applied forces will be ignored during dynamics computations.

While the location of a node on its parent physical body remains fixed on a rigid physical body instance, the location and orientation of nodes attached to a physical modal body instance (see Flexible body systems section for more on flexible bodies) can change as the body deforms.

body nodes

Body nodes#

Before carrying out any computations, the parameters for all of the physical bodies and and hinges need to be set. A physical body’s parameters can be set via its setParams() and other related methods.

Connecting bodies via hinges#

A physical body is connected to its parent Karana.Dynamics.PhysicalBody via a physical hinge of Karana.Dynamics.PhysicalHinge type. A physical hinge is a specialization of the Karana.Frame.OrientedChainedFrameToFrame class.

hinges

Body pair connected by a hinge#

The hinge creation process automatically creates a pair of node instances, referred to as an onode of type Karana.Dynamics.HingeOnode and a pnode of type Karana.Dynamics.HingePnode. The onode is attached to the parent physical body and the pnode to the child physical body. These nodes serve as the oframe/pframe for the physical hinge frame-to-frame chain. The onode and pnode define the location of the physical hinge on the pair of connected physical bodies. Every physical body instance has a unique pnode that is the connection point for its parent physical hinge, and has one or more onode instances where the physical hinge for each attached child physical body is located.

The location and orientation of the onode on the parent physical body can be set using the onode’s setBodyToNodeTransform() method. The location and orientation of the pnode on the child physical body can be set using the setBodyToJointTransform() method for the child physical body.

hinge nodes

Hinge node locations#

The articulation of the child physical body with respect to the parent physical body is defined entirely by the relative motion of the hinge’s pnode with respect to the physical hinge’s onode. The onode and pnode frames for a hinge coincide with the hinge coordinates are zero.

New physical bodies can be attached to existing physical bodies by creating a physical hinge of a specified type. The Karana.Dynamics.PhysicalHinge.create() static method creates physical hinge instances. This method takes a Karana.Dynamics.HingeType argument to specify the type of hinge to be created.

The Karana.Dynamics.PhysicalHinge is derived from the Karana.Dynamics.FramePairHinge class which implements much of the functionality. The main difference between these classes is that the latter class simply connects a oframe/pframe frame pair. While the physical hinge instances are used to connect physical bodies in the multibody spanning tree. A FramePairHinge can also be used for defining loop constraint instances (see Cut-Joint constraints section).

Subhinges#

A physical hinge by itself is a container class for a sequence of zero or more physical subhinges instances. The PhysicalSubhinge class is derived from the Karana.Frame.EdgeFrameToFrame class, and hence represents an frame-to-frame edge in the frame tree. There are a pre-defined set of subhinge types selected via the Karana.Dynamics.SubhingeType available for use. Each Karana.Dynamics.HingeType enum type corresponds to a specific pre-defined sequence of subhinge types. The one exception is the CUSTOM hinge type which allows the user to specify a custom the sequence of physical subhinges types.

Generalized Q, U etc coordinates#

Every physical subhinges in the multibody system has a set of generalized coordinates that parameterize its motion. Additionally, deformable bodies such as physical modal body have generalized coordinates that parameterize its deformation. All objects that contribute such generalized coordinates, including subhinges and physical bodies, are derived from the abstract Karana.Dynamics.CoordBase class. Each coordinate object instance has an inherent polarity (i.e. orientation) with its coordinates parameterizing the relative motion of some frame with respect to another. Thus the coordinates for a physical subhinges that is part of a physical hinge parameterize the motion of the outboard child physical body with respect to the inboard parent physical body (and not the other way around!).

The kdFlex conventions for generalized coordinates are described below:

In addition,


Creating a tree multibody system#

The multibody system is the top-level container for all the physical bodies belonging to the system. Each multibody instance automatically comes with a virtual root physical body that serves as the root/anchor for the actual physical bodies in the system.

kdFlex supports multibody systems with serial-chain, tree and graph topologies. Unlike serial-chains, tree systems can have branches. The distinction between tree and graph topology systems is that graphs can contain loop constraint and coordinate constraint between physical bodies.

multibody topologies

Types of multibody topologies#

A multibody system can be created procedurally as well from Python DataStruct definitions, YAML, JSON, HDF5 and URDF model files. Model file exporters to these formats are also available. We begin with the steps need to create tree topology multibody system.

Manual creation#

A multibody system is created by calling the Karana.Dynamics.Multibody.create() static method. This method takes as an argument the Newtonian frame which is used as the inertial frame for dynamics computations. This method creates a multibody instance with a single virtual root body. This root body serves as an anchor for the remaining physical bodies that are created subsequently.

New physical bodies can be added to the multi body system by calling the create() method on the appropriate physical body class.

Once the physical bodies have been created. The Karana.Dynamics.Multibody.ensureHealthy() method should be called to finalize the setup of the multibody system. The Karana.Dynamics.SubTree.displayModel() can be used to display the list of physical bodies and hinges in a multibody system.

displayModel

Example output from SubTree.displayModel()#

The Karana.Dynamics.Multibody.dumpTree() method displays the topology of the multibody system including the loop and coordinate constraints among the physical bodies.

dumptree

Example output from SubTree.dumpTree()#

Creating physical bodies and hinges automatically add a number of frames and edges to the frames tree. You can examine the current state of the frame tree by calling the dumpFrameTree() method on the root frame. An interesting exercise is to identify the segments of the frame tree contributed by the individual physical bodies, physical subhinges and physical hinge instances.

body frames

Frames associated with bodies and hinges#

Before carrying out any computations, all of the subhinge and deformation coordinates need to be initialized (see Subhinges section). The Karana.Core.allReady() method can be called to run an audit to verify that there are no unset parameters. It is a good practice to call this method after multibody system creation and initialization.

The 2 link pendulum (basic) example script illustrates the the manual process for creating a multibody system.

The CoordData container#

In a multibody system is created, the collection of physical subhinge and physical modal bodies together define the system dofs. The Karana.Dynamics.CoordData container class can be used to manage collections of such coordinate object instances. For this purpose, the multibody model has

The coordinates data class provides methods such as nQ(), getQ(), setQ()that parallel the methods for individual subhinges, except that they work for lists of coordinate object instances. Thus the Q vector is the combined vector of the values from each of the subhinges. (See the Generalized Q, U etc coordinates section for more information on Q, U etc coordinates.) The dumpState() is handy for displaying the coordinates data for a coordinates data’s elements.

coord data output

Example output from CoordData.dumpState()#

When getting or setting the Q etc coordinates for a coordinate object, it is possible to do this directly via the coordinate object instance. This can be also be done indirectly via a coordinates data instance that contains the coordinate object instance. To do the so, you will need to find the correct slot (via the coordinates data’s coordOffsets() method) for the coordinate object in the overall coordinate vector and get/set these values. While technically doable. the direct approach is more convenient to work with for individual coordinate object instances.

Procedural creation#

the previous section described the process for manually creating physical bodies one at a time. This process provides complete control over creating the right body types, hinge types and setting up the parent/child body relationships.

Convenience methods are however available to add serial-chain and tree topology systems of physical bodies to a multibody system. in bulk. The Karana.Dynamics.PhysicalBody.addSerialChain() and Karana.Dynamics.PhysicalBody.addTree() methods will create a serial and tree systems respectively of uniform physical bodies. These methods are especially useful for automating the creation of large multibody systems for testing and benchmarking performance. These methods can be called multiple times to build up the physical bodies in the multibody system. While these methods create uniform physical bodies, it is possible to alter the properties of physical bodies individually as desired.

The n link pendulum (procedural) example illustrates the procedural creation of a multibody system.

Importing model data files#

There is also support for creating multibody systems from model data files. The following model formats are currently supported:

  • URDF format model files widely used by the robotics community

  • The JPL DARTS dynamics simulation tool Python model format files

  • The SOADyn_types.SubGraphDS DataStruct generated yaml, json, HDF5 and Python format model files.

There is also support for exporting model files into the URDF and SOADyn_types.SubGraphDS DataStruct compatible formats.

The WAM arm and M2020 rover example notebooks illustrate process for creating a multibody system from model files.

mbody import export

Supported multiple multibody model file import/export formats#


Flexible body systems#

In addition to multibody dynamics with rigid physical bodies, kdFlex also supports dynamics with flexible bodies, where the rigid/flex dynamics coupling is rigorously handled using the low-cost SOA dynamics algorithms. The FEMBridge toolkit provides interfaces for processing finite-element-model (FEM) data from structure analysis tools such as NASTRAN to generate assumed modes models for component deformable bodies. Modeling of flexible multibody system dynamics accurately and fast, allows kdFlex to support the needs for loads and structures analysis, as well as for control-system design and analysis. It can provide accurate and fast performance needed for closed-loop time-domain simulation testbeds as well as generation of linearized state-space models for frequency-domain analysis.

struct control

Multibody dynamics bridge between structures and controls discipline analysis needs#

The flexible bodies are assumed to undergo small deformation. The flexibility data for such bodies is typically developed using FEA tools such as NASTRAN. Since these FEA models are typically high-dimensional, an assumed modes approach, together with component mode synthesis (CMS) is typically used to develop reduced order models for the flexible bodies.

deformable

Multibody systems with deformable bodies#

Creating flexible bodies#

A flexible body can be created in kdFlex using the Karana.Dynamics.PhysicalModalBody.create() method. The number of modes is an argument for this create() method. The nU() method can be used to query the number of modes for a body. Note that the returned value from this method is zero for rigid physical bodies.

The parameters - over and beyond those for a rigid body - for a physical modal body, consist of

Deformation coordinates#

Physical bodies are coordinate object objects. The generalized coordinates associated with a physical modal body are its deformation coordinates. The number of deformation coordinates can be queried using the body’s nU() method. Deformable bodies have nU() size Q, U, Udot coordinates as described in the Generalized Q, U etc coordinates section for coordinate object objects. The getQ() etc methods can be used to get and set these coordinates. The multibody instance has a dedicated coordinates data instance with the deformation coordinates for physical modal bodies that can be accessed via the CoordData() method.

Virtually all the kdFlex algorithms, including kinematics, Jacobians, loop constraints, dynamics etc, work for rigid as well as flexible bodies. This allows kdFlex to support arbitrary graph topology systems with arbitrary mix of rigid and flexible bodies. This general capability thus provides accurate and fast rigid/flex multibody dynamics support capitalizing on the fast SOA methods.

Multibody configuration changes#

kdFlex supports the run-time changes to the multibody system topology. The Creating a tree multibody system section described the steps for creating a new body. These steps can be done at any time to add a new body. Removing a body is done by simply calling the discard() method on the body after all dependencies have been removed as discussed in the Creating and discarding objects section.

kdFlex also supports changing multibody topologies from detaching and reattaching bodies as follows.

  • Calling the detach() method for a physical body will detach it from its current parent physical body and will delete their connecting physical hinge. It will also create a new physical hinge of the specified type to attach the body to the multibody virtual root body via a FULL6DOF hinge. The new physical hinges coordinates are initialized so as to preserve the inertial pose, spatial velocity and spatial acceleration of the body across the detachment action.

  • The reattach() method can also be called with a new parent physical body argument. This will carry out steps similar to the detach() method, except that the new physical hinge of the specified type is created and used to connect the body to the new parent physical body. If the hinge type is FULL6DOF, then the new hinge coordinates are initialized to preserve the inertial pose, spatial velocity and spatial acceleration of the body across the reattachment.

The inertial pose, velocity and acceleration of the the body are automatically preserved only for a 6-dof physical hinge type. This is based on the fact that it is the only hinge type capable of ensuring continuity in the inertial pose, velocity and accelerations of the body across the reattachment. Furthermore, using 6-dof hinges is simpler since they do not require the additional data such as the location of the new onode and pnode, and additional axes etc parameters.

What about reattaching with a physical hinge type different than a 6 dof hinge as may be needed in practice while preserving inertial pose, velocity and accelerations of the physical body. The following describes the general process for changing the physical hinge type.

  • to avoid the non-physical discontinuities in physical body inertial pose and velocities, it is necessary that the relative pose, spatial velocities and accelerations of the body with respect to its new parent be achievable by the new desired hinge type. In practice, this may require a transition period (e.g., nulling out relative velocities during a docking scenario) to meet this requirement.

  • once the admissible relative pose etc conditions have been met for the new physical hinge type, record the new parent relative pose etc quantities - they will be needed later to initialize the new physical hinge’s coordinates. The discard() method on the existing physical hinge can be called to remove it, followed by a call to Karana.Dynamics.PhysicalHinge.create() method to create the new physical hinge of the right type between the new parent and the physical body.

  • now set the onode, pnode locations and the axes etc parameters as needed for the new physical hinge. These steps are similar to the ones needed when attaching a newly created physical body via a physical hinge as described in the Manual creation section.

  • the final step is to set the physical hinge coordinates to preserve the body’s original inertial pose etc. This can be done by calling the physical hinge fitQ() method to find the best Q coordinates for the desired relative transform. This method will return the residual transform error, which should be zero if the desired relative transform is compatible with the new hinge type. Similarly calls to the fitU() method should be made to initialize the U coordinates for the physical hinge, and fitUdot() method to initialize the Udot coordinates for the physical hinge.

After making such changes, it is important to make the multibody system current to update it for the new configuration.

Due to the structure-based nature of the SOA algorithms, very little beyond these changes to the topology is needed for all the kdFlex algorithms to continue working. Most of the algorithms are structure-based and will simply start following the new system topology! There is no other bookkeeping updates needed for the changes to connectivity that may otherwise be required in conventional approaches. The cost of making these changes is very modest, and so easy to accommodate in complex scenarios.


Bilateral closure constraints#

Bilateral constraints can be imposed to limit the admissible motions of physical bodies. Such constraints are can be imposed directly on the body subhinge coordinates or on the relative spatial velocity of physical body nodes. The former are referred to as coordinate constraints (see Coordinate constraints section), while the latter as loop constraints.

The presence of constraints implies that the system has non-minimal coordinates. By default this requires constraint kinematics solvers (see Constraint kinematics section) to compute system states that satisfy the loop motion constraints. Any meaningful use of such closed-chain topology systems requires that the system states be such that the loop motion constraints are satisfied! Also, different solution techniques for the system dynamics are required since the algebraic motion constraints make the system dynamics model into a DAE system. SOA’s constraint embedding technique can be used to get back to an ODE formulation, but that is an advanced topic for later.

Cut-Joint constraints#

Hinges provide an explicit way to characterize the permissible constrained between a pair of physical bodies. An alternative, kinematically equivalent - albeit implicit - way, is to define the motion constraints via cut-joint constraints. The cut-joint loop constraint class defines bilateral loop constraints between physical bodies. This class takes advantage of the duality between hinges and constraints - in that admissible motions can be defined explicitly using a physical hinge, or implicitly via a cut-joint loop constraint.

A cut-joint loop constraint can be created using the Karana.Dynamics.LoopConstraintCutJoint.create() method. A cut-joint loop constraint is typically created between a a pair of constraint node nodes of type Karana.Dynamics.ConstraintNode instances attached to a pair of physical bodies to constrain their relative motion. The same method also can be used to create a motion constraint between a physical body and the environment. The method takes a frame-to-frame instance as argument to specify the frame pair being constrained. At least one of the frames is required to be a constraint node. The method also takes a HingeType argument to specify the allowed motion across the cut-joint loop constraint. A FramePairHinge instance of the specified hinge type is used internally to restrict the admissible motion for the cut-joint loop constraint. This process allows us to use rigidly locked constraints, as well as more general cases where the motion is only partially constrained. When the motion is only partially constrained, there are additional generalized coordinates for the hinge associated with the cut-joint constraint.

The cut-joint loop constraint poseError() etc methods can be used to compute the constraint error for individual constraints.

Cut-joint constraints are required for multibody systems with graph topologies, i.e. ones with topological loops. A set of cut-joint loop constraints for the cut-joints, together with the physical bodies subtree, are used by kdFlex to define general graph topology multibody systems.

While another conceivable option to convert a graph into a tree might be to split bodies rather than hinge, we do not adopt this option. There is no reasonable way to split the mass and modal properties of flexible bodies across the fracture parts. The extreme option of splitting a body while apportioning all the body properties to one part, and making the other part a dummy mass-less rigid body is also problematic since some algorithms cannot accept mass-less leaf bodies.

modes bases. For rigid bodies, we can simply spit about the body frame and assign half mass properties to each half.

The Slider-crank with loop constraints example illustrates the creation of cut-joint loop constraints for a graph topology multibody system.

Convel loop-constraints#

Unlike cut-joint loop constraints, convel loop constraints instances do not have a physical hinges. A convel loop constraint requires projections of the relative spatial velocity of a pair of physical bodies along an axis to track each other. Furthermore, a convel loop constraint does not apply at the relative pose level, and only applies at at the velocity and acceleration levels. A convel loop constraint is an instance of the Karana.Dynamics.LoopConstraintConVel class. Since a convel loop constraint does not have a physical hinge, there are no coordinates associated with them either. A convel loop constraint can be either on the relative angular or linear velocities, and the component axis can be set via its setUnitAxis() method.

Both the cut-joint loop constraint and convel loop constraint classes derive from the LoopConstraintBase class. This class’s hasHinge() method can be used to distinguish between these two loop constraint types.

Coordinate constraints#

While cut-joint loop constraint and convel loop constraint instances restrict the admissible spatial velocity across constraint node and frame instances, a coordinate constraint directly imposes algebraic constraints between generalized coordinates to restrict their motion. Examples of coordinate constraints are physical bodies coupled via gears, with their respective generalized coordinates values being subject to a fixed scalar ratios.

The Karana.Dynamics.CoordinateConstraint.create() method can be used to create a coordinate constraint instance to impose a scale ratio between the Q coordinates of a pair of physical subhinges (with the same number of dofs). The scale ratio can be set via the setScaleRatio() method. This coordinate constraint can be used for a pair of rotational physical subhinge (e.g., for gears) or the combination of rotational and translational physical subhinge, such as for rack and pinion mechanisms.


Sub-Trees#

While most applications will carry out computations on the full multibody system, it is possible to restrict computations to a connected set of physical bodies in the multibody system. For instance, for simulations with multiple vehicles, the user may at times want to limit some of the kinematics, statics or dynamics computations to individual vehicles. A similar story applies to multi-limbed robotic systems where some tasks may involve just a sub-set of the limbs. An additional pertinent example would be mobile manipulator systems where the computations can be narrowed down to just the manipulator for scenarios where the mobility degrees of freedom are not active. The Karana.Dynamics.SubTree class is a container class for a sub-tree of physical bodies for this purpose. The physical bodies of in this container must for a topological tree, and thus the sub-tree must have a single virtual root body that is the ancestor of all the physical bodies in the sub-tree.

The Karana.Dynamics.SubGraph is a derived class that additionally can have a list of cut-joint loop constraint and coordinate constraint instances defining the loop and coordinate constraints between its physical bodies. The Karana.Dynamics.Multibody class itself is derived from the SubGraph class. All additional subtree and subgraph instances are children of the parent multibody system, and contain subsets of the physical bodies in the multibody system.

The Computational Algorithms section describes a number of available system-level algorithms for kinematics, statics and dynamics computations that work on subtree and subgraph instances. These algorithms ignore the physical bodies, physical hinge and frames external to them when carrying out their computations. This generally means that the external bodies and frames are treated as kinematically frozen, and the mass properties of inboard and outboard bodies are ignored. Since a multibody is also a subtree and a subgraph, passing in the multibody allows the use of the same algorithm methods for the full system as well.

A new subtree is created from an existing subtree instance by calling the Karana.Dynamics.SubTree.create() method. This method takes the new_root, use_branches and stop_at arguments to tailor the physical bodies parent sub-tree to be included in the new sub-tree. The following describes the role of these options in more detail:

  • To create a subtree that includes all the descendants of a specific body, specify the body as the new_root argument and empty lists for the use_branches and stop_at arguments. Note that the the specified body will be the virtual root of the new subtree, and hence technically not belong to it. To actually include this body, specify the body’s parent body (or another strict ancestor) as the new_root argument. You can also specify the parent_subgraph.virtualRoot() as the argument value if the body happens to be a base body for the parent subtree.

  • If the use_branches argument is an empty list, then all branches starting from the new_root are included in the new subtree. If a non-empty list of bodies specified as the use_branches argument, the included bodies are limited to only those on branches containing one of these bodies. The use_branches argument can thus be used to exclude unneeded branches in the parent subtree. If the new_root argument is null, then the new-subtree uses the common ancestor body for the use_branches body as the root of the new subtree. Thus at least one of the new_root or use_branches arguments is required to be non-null.

  • When the stop_at argument is an empty list, all bodies in the branches specified by the new_root and use_branches arguments are included in the new subtree. When the stop_at list is non-empty, bodies that are descendants of bodies in the stop_at list are excluded from the new subtree. Bodies in the stop_at list are required to be strict descendants of the new root body - since otherwise this would lead to an empty subtree.

  • A common situation is the need to create a subtree consisting of the minimal spanning tree of a set of bodies. Such a subtree can be created by specifying a null new_root argument, and the same list of bodies as the use_branches and the stop_at argument.

Arbitrary levels of nesting are allowed for subtrees, and a subtree can have an arbitrary number of children subtrees.

A subtree’s virtualRoot() method can be used to get its root body. Since the set of bodies can vary across subtree instances, so can the children bodies for a body. The childrenBodies() method can be used to query the children bodies for a body in a subtree. Since multibody instance is also a subtree, calling childrenBodies() method on the multibody returns the full list of children physical bodies for physical body.

One handy feature of any subtree instance is that it automatically has a dedicated frame (accessed via its cmFrame() method) to track the center of mass location of the bodies in the sub-tree. As a consequence, a multibody system also has such a CM tracking frame. Since this is a frame instance, it is a part of the frames tree, and thus the location of a subtree’s CM location can easily be queried with respect to any other frame in the system.

Sub-Graphs with Constraints#

The Karana.Dynamics.SubGraph class is derived from the Karana.Dynamics.SubTree class, and adds support for bilateral loop constraint and coordinate constraint constraints (see Bilateral closure constraints section) among the subgraph component physical bodies. A subgraph instance can be created using the Karana.Dynamics.SubGraph.create() method. In addition to the arguments for the Karana.Dynamics.SubTree.create() method - for selecting the bodies to include - the subgraph, this create() method takes lists of loop constraint and coordinate constraint instances from the parent subgraph to include in the new one. For convenience, a new subgraph instance automatically inherits and enables all the constraints from the parent subgraph that are legal for the subset of bodies in the new subgraph. Such inheritance can be disabled by setting the inherit_constraints argument for the create method to false.

subgraphs

SubGraph illustration#

All constraint instances can be enabled and disabled for a subgraph at run-time by calling its enableConstraint() and disableConstraint() methods respectively. Only the enabled constraints are taken into account in computations involving the subgraph. This provides a convenient way to handle scenarios where constraints are changing at run-time such as during robot manipulation and mobility activities.

The Karana.Dynamics.Multibody class is a specialization of the Karana.Dynamics.SubGraph class. Multiple subtree and subgraph classes can be created with different combinations of physical bodies and constraints for a multibody system.

Several of the computational algorithms in kdFlex act on subtree and subgraph instances. So while these algorithms can be invoked on the multibody instance, they can also be called on subtrees and subgraphs. This allows an application to restrict the execution of these algorithms to a narrower set of the physical bodies in the multibody system (e.g., to just the manipulator arm on a mobile platform, or to a single vehicle in a multibody system with multiple vehicles).


Jacobians#

In the domain of robotics, Jacobian matrices play an important role. In the most basic case, Jacobians relate joint velocities to spatial velocities of a robot end-effector. Jacobians are configuration dependent and need to be computed on the fly in the context of robot motion control since the coordination of multiple limbs is required. In the broader context of multi-limb robots, there are multiple end-effectors. The concept of a Jacobian extends naturally to such multiple end-effectors.

Again, in the context of robotics, Jacobians are needed for inverse kinematics (IK) solvers. The IK problem is one of finding a set of hinge coordinates that will position one or more end-effectors in a desired pose. This typically requires numerical solvers that often utilize these Jacobians within an iterative numerical search process.

kdFlex includes support for the efficient computation of general purpose Jacobians, as well as broader constraint kinematics solver capabilities. For this, kdFlex first generalizes the notion of a Jacobian. Conventionally Jacobians are used to characterize end-effector poses and velocities with respect to the ground or the inertial frame. A more general setting is where the Jacobian is defined for a pair of frames, where both frames may be in motion. In this more general setting, the Jacobian characterized the relative motion between these pair of frames as a function of the joint coordinates. This approach subsumes the conventional case where the Jacobian is with respect to the inertial ground frame. This broader framing allows the use of the Jacobians for the more general constraint kinematics (CK) problem of solving for the system state that satisfies a set of loop constraints.

Jacobians

Jacobians can be relative as well for multiple nodes#

The Karana.Dynamics.FrameToFrameJacobianGenerator.create() method can be used to create a Jacobian generator for a frame pair defined by a single frame-to-frame instance for coordinates defined by a coordinates data instance. This object’s jacobian() method computes the relative Jacobian for the frame pair. The object does the caches bookkeeping information for reuse across multiple Jacobian calls. By default, analytical techniques are used to compute the Jacobians. The Karana.Dynamics.MultiJacobianGenerator class is a more general version of the generator that can compute the Jacobian for a list of frame-to-frame instances. Methods such as the Karana.Dynamics.SubTree.subhingeCoordData() can be used for the The coordinates data arguments when seeking Jacobians for all the subhinge coordinates in a subtree.


Constraint kinematics#

The Karana.Dynamics.ConstraintKinematicsSolver class is a general purpose constraint kinematics solver for solving a subgraph’s coordinates that satisfy its motion constraints. The simplest way to create an instance of the solver is by calling the subgraph’s cks() method. This solver will be setup to solve for the subgraph state satisfying its enabled constraints. The solver’s solveQ() etc methods can be invoked to solve for the coordinates satisfying the constraints. The returned value is the residual error.

The frozen coordinates are left unchanged during the solution process.

A feature of the kdFlex constraint kinematics solver is that it allows for the freezing of a subset of the subgraph coordinates using the freezeCoord() method. Such freezing can be useful for subgraphs with redundant coordinates, where the overall strategy may be to use additional policies to manage a subset of the coordinates, and shield them from change during the solution processes.

The Slider-crank with loop constraints example illustrates the creation of and use of constraint kinematics solvers.

Inverse kinematics#

In its simplest form, the inverse kinematics (IK) problem is one of solving for joint coordinates required to achieve a desired pose for a frame such as the end-effector. We recast the IK problem into a constraint kinematics problem by creating a loop constraint whose satisfaction would meet the IK requirements. We can then proceed to use the constraint kinematics solver’s solve methods to obtain the IK solutions. This approach is quite general, and allows us to solve IK problems involving relative pose requirements across moving frames, having multiple such requirements, and accommodate cases where the relative pose requirements are partial - such as position only, or orientation only.

Consider for instance a multi-limbed robot, where the scenario calls for using one limb end-effector to anchor the robot by holding on to a handle, while planting one end-effector on the floor, and using two other limbs to grasp and move a task object from one position to another. Motion planning for this scenario requires solving the inverse kinematics for the robot across the whole motion trajectory. The following steps can be used to carry out the coordinated motion for the robot using kdFlex:

  • Create a cut-joint loop constraint constraint of hinge of type Karana.Dynamics.HingeType.LOCKED between the planted end-effector and the ground, and add and enable it in the subgraph.

  • Create a cut-joint loop constraint of type Karana.Dynamics.HingeType.LOCKED constraint of hinge between the end-effector holding the handle, and the handle, and add and enable it in the subgraph.

  • Create a pair of cut-joint loop constraint constraints of hinge type Karana.Dynamics.HingeType.LOCKED between each of the end-effectors holding the task object and the point of attachment on the task object, and add and enable it in the subgraph.

  • Enable the IK constraints in the multibody instance by calling the enableConstraint() method for each of them.

  • Call the multibody cks() method to get the constraint kinematics solver instance for the multibody.

  • Select the subset of independent coordinates to use to parameterize the motion. These can be external coordinates, such as the desired position of the task object, along with redundant hinge coordinates within the multibody. Use the cks freezeCoord() method to freeze the coordinates that we do not want the IK solver to change (i.e. the independent coordinates).

  • Now set the independent coordinates to their (frozen) coordinate values. Then call the constraint kinematics solver solveQ(), solveU() and solveUdot() methods as needed to solve for the Q, U and Udot coordinates satisfying the constraints. The return value from these methods is the residual error - which should be zero if the IK solution was successful. The solution coordinates will be stored at within each physical subhinges, and the values can be queried individually, or for the full multibody by calling it’s getQ() etc methods. An important reminder is to always do the Q, U and Udot solutions in order, since each solution depends on the previous one. If solving for IK coordinates across a path, this step can be repeated over over with new values for the independent coordinates to get the matching set of IK solutions.

  • Once done with the IK solutions, disable the IK constraints from the multibody by calling the disableConstraint() method for each of them. Also, unfreeze the independent coordinates by calling the the cks unfreezeCoord() method.

If the IK solutions are required multiple times during the simulation scenario, an option is to create a dedicated subgraph instance for IK solutions with all the bodies in the system. The user simply needs to use the subgraph instead of multibody in the steps above for the IK solution. The advantage of this approach is that, the enabling of constraints, and freezing of coordinates just needs to be done once - or as changes happen, without the need to undo them after use.


Dynamics Computations#

While the classes described above can be used to define the multibody system model, the Karana.Dynamics.Algorithms class contains several static methods for system level computational algorithms. The algorithms described here are are atomic, work-horse methods that are available for use by higher level layers in an application. These methods carry out computations for a specific state of the system, and use the Q and U generalized coordinate values set in the multibody system when a method is called. Thus the kinetic energy method computes the kinetic energy at the state set in the multibody instance. Before getting to the algorithms themselves, we first pause to introduce the notion of prescribed motion that is important for the forward dynamics related algorithms.

Hybrid Forward Dynamics and Prescribed Motion#

The conventional inverse dynamics problem is one of using the equations of motion to compute the T generalized forces for an input set of Udot generalized accelerations. The conventional forward dynamics problem is the converse, and involves using the equations of motion to compute the Udot generalized accelerations for an input set of Udot generalized forces. However, there are times when the situation is mixed, and the inputs are a combination of T generalized forces at some subhinges and the Udot generalized accelerations at the remaining ones, and we need to compute the complimentary unknown generalized forces and accelerations. For this situation, the subhinges with input Udot generalized accelerations are referred to as ones undergoing prescribed motion since their motion problem is pre-determined. The physical subhinges setPrescribed() method can be used to set and unset its prescribed motion property. By default, physical subhinge are non-prescribed.

kdFlex includes support for the mixed situation with a hybrid forward dynamics algorithm. This algorithms will use the T generalized force values of non-prescribed physical subhinge as input and the Udot generalized acceleration values for prescribed ones. The hybrid algorithm will compute the unknown Udot values for the non-prescribed physical subhinge, and the T values for the prescribed ones. When none of the physical subhinge are prescribed, we fall back to the conventional forward dynamics problem. On the other hand, when all physical subhinge are prescribed, the resulting computations are those for the inverse dynamics problem. The kdFlex forward dynamics algorithm is in fact the hybrid forward dynamics algorithm so it can handle the the conventional inverse and forward dynamics cases, as well as the hybrid in-between cases. For the pure inverse dynamics case, there are however faster alternative Newton-Euler methods available for carrying out the computations.

A noteworthy fact is that the prescribed property for any physical subhinges can be changed at any time during a simulation, and the hybrid algorithm will seamlessly adapt to the changes without any overhead.

The equal and opposite spatial force between physical bodies at the physical hinges is often of interest. This quantity corresponds to Lagrange multipliers that are solved for in absolute coordinate dynamics formulations such as for the Fully-Augmented (FA) models. The kdFlex ATBI forward dynamics algorithm does not need or compute these quantities by default. However, these inter-body forces are easily computed from the ATBI algorithm intermediate quantities, and this technique is used by the onode getInterBodyForceTreeFwdDyn() method to compute the inter-body force at a physical hinge’s onode.

Gravitational acceleration#

The setGravAccel() method can be used to set the gravity acceleration value for a physical body in the multibody system. To apply a uniform gravity field for all physical bodies, the subtree setUniformGravAccel() helper method can be used to set a gravity acceleration value for all the physical bodies in the subtree. The setGravityGradient() method is also available to set gravity gradient values for a physical body.

Dynamics in Non-Inertial Frames#

Normally, dynamics and equations of motion are described in a Newtonian, i.e. inertial frame. Inertial frames are by definition non-rotating and non-accelerating frames. The root frame in the frame container is by default the inertial frame in kdFlex. Any downstream frame that is non-rotating and non-accelerating is also an inertial frame and can be used for the purposes of dynamics computations. The multibody virtual root body is quite often attached to the root frame so as to be a inertial frame to satisfy the requirements for the kdFlex dynamics algorithms.

When using Spice frames, with celestial bodies, it is common practice to treat the Solar System Barycenter (SSBC) as an inertial frame (clearly an idealization, but one commonly used). Celestial bodies (such as the Earth) are typically accelerating and rotating with respect to the SSBC. Often terrestrial, and other planet referenced scenarios, are described with respect to the planet centered rotating (PCR) frame attached to the planetary body. As a rotating frame, the PCR frame is non-inertial. The question is how to include the effect of the PCR rotation into the dynamics computations.

The conventional approach is to create a planet centered inertial (PCI) frame that is a non-rotating frame, but collocated with the PCR frame, and use it as the inertial frame. The PCR frame is made a child of the PCI frame. The planet is folded into the multibody tree by creating a body for it and attaching it to the PCR frame. The vehicle - whose dynamics we are really interested in - is made into a child of the PCR body. To avoid mixing the dynamics of this massively heavy body with the vehicle bodies, the planetary body’s parent hinge is marked as undergoing prescribed motion. With this assumption, the mass properties of the planet body have no effect on the dynamics, but the PCR rotation does get taken into account correctly in the vehicle dynamics. While technically sound, this approach does require the awkward step of including physical bodies for the PCI and PCR frames into the physical bodies tree, and adding ways to keep it in sync with the ephemerides trajectory for the planetary body.

kdFlex includes a simpler and more streamlined solution for this problem that avoids the creation and inclusion of physical bodies for the PCI and PCR frames. This approach attaches the virtual root body to the non-inertial PCR frame. As a consequence the virtual root body has non-zero rotation and accelerations while serving as the attachment root for the vehicle bodies. The standard dynamics algorithms in kdFlex have been extended to accommodate such non-inertial virtual root multibody bodies, such that they continue to capture the effects from the PCR rotation in the dynamics computations accurately.

Computational Algorithms#

kdFlex provides a large collection of fast computation algorithms to use with the multibody, subgraph and subtree instances. The available algorithms include ones for doing inverse kinematics, inverse and forward dynamics for tree and graph systems, computing the system spatial momentum, mass properties and kinetic energy etc.

The operation of the algorithms is restricted to the mini-world defined by the subset of their bodies. The algorithms thus ignore the physical bodies, physical hinge and frames external to them when carrying out their computations. This generally means that the external bodies and frames are treated as kinematically frozen, and the mass properties of inboard and outboard bodies are ignored. Since a multibody is also a subtree and a subgraph, the methods can be used for system level computations by passing in the multibody as the argument to these methods.

There is no restriction on creating multiple subtree and subgraph instances with overlapping sets of bodies. However certain algorithms can only be run on non-overlapping subtree instances. These methods can be used after the subtree enableAlgorithmicUse() has been called. This method will fail if there is another algorithmically enabled subtree with overlapping set of physical bodies. One consequence of this is that if the multibody itself has been algorithmically enabled, then no other subtree can be enabled. The subtree’s disableAlgorithmicUse() method can be used to disable an enabled subtree.

Unless otherwise noted in the method documentation, all of the algorithm methods support rigid and flexible bodies.

The available algorithms are described in the following sections.

Kinematics Algorithms#

The methods described here are for the system kinematics.

System Properties Algorithms#

The following methods return quantities that are relevant for the analysis and design of systems.

  • Karana.Dynamics.Algorithms.evalKineticEnergy(): Calculate the overall kinetic energy of the component bodies in a subtree

  • Karana.Dynamics.Algorithms.evalExternalSpatialForce(): Calculate the overall external spatial force on the tree from accumulating the spatial forces from all the external force nodes, active contact nodes and constraint forces from constraint nodes for the component physical bodies in a subtree system. The returned value is at, and represented in, the subtree center of mass frame.

  • Karana.Dynamics.Algorithms.evalSpatialInertia(): Calculate the overall tree system spatial inertia from accumulating the spatial inertias for the component physical bodies in a subtree system.

  • Karana.Dynamics.Algorithms.evalTreeMassMatrixCRB(): Calculate the mass matrix of a subtree using composite rigid body (CRB) inertia algorithm. An optional coordinates data can be used to customize the row/column order of the mass matrix.

  • Karana.Dynamics.Algorithms.evalTreeMassMatrixInvDyn(): Calculate the mass matrix of a subtree system using multiple invocations of the Newton-Euler inverse dynamics algorithm for computing the individual columns. An optional coordinates data can be used to customize the row/column order of the mass matrix. The mass matrix computed by this method is the same as the Karana.Dynamics.Algorithms.evalTreeMassMatrixCRB() method, but the latter is computationally faster.

  • Karana.Dynamics.Algorithms.evalTreeMassMatrixInvFwdDyn(): Calculate the mass matrix inverse of a subtree system using forward dynamics for computing the individual columns. An optional coordinates data can be used to customize the row/column order of the mass matrix inverse.

  • Karana.Dynamics.Algorithms.evalSerialChainMassMatrixInverse(): Calculate the mass matrix inverse of a serial-chain rigid-body system using SOA based operator decomposition expressions. This method does not require the computation of the mass matrix or its inversion. An optional coordinates data can be used to customize the row/column order of the mass matrix inverse.

  • Karana.Dynamics.Algorithms.evalTreeMassMatrixInverse(): Calculate the mass matrix inverse of a tree-topology rigid body system using SOA based operator decomposition expressions. This method does not require the computation of the mass matrix or its inversion. While this method can also handle serial-chain systems, the specialized Karana.Dynamics.Algorithms.evalSerialChainMassMatrixInverse() alternative method is also available since it is much simpler for the simpler topology. An optional coordinates data can be used to customize the row/column order of the mass matrix inverse.

  • Karana.Dynamics.Algorithms.evalFramesOSCM(): Calculate the operational space compliance matrix (OSCM) for a subtree system. The OSCM is the reflected mass matrix inverse in the operational/task space as defined by a set of input frames. The original definition centered around the single end-effector frame for a robot arm, but the more general multiple frame version plays an important role in whole-body motion control applications for multi-limb robots. The formal definition of the OSCM is \(J{\cal M}^{-1}J^*\), where \(J\) denotes the Jacobian matrix for the frames, and \(\cal M \) the system mass matrix. The direct computation of the OSCM by the direct evaluation of this expression requires the computation of the mass matrix and its inverse and can be computationally expensive. kdFlex instead uses a recursive SOA algorithm that exploits the structure of the OSCM to develop a decomposition and computational algorithm that avoids even the need for computing the mass matrix. This is an important benefit since variants of the OSCM also play an important role in solving the forward dynamics for systems with constraints.

Forward Dynamics Algorithms#

The following methods are the primarily for solving the equations of motion for simulation use.

  • Karana.Dynamics.Algorithms.evalForwardDynamics(): This calls one of two algorithms under the hood depending on the argument passed.

    a. If the argument passed is a subtree or a subgraph without constraints, then a tree forward dynamics algorithm is used. This evaluates the articulated body inertia (ATBI) based forward dynamics. This algorithm actually implements hybrid dynamics where some of the subhinges may be undergoing prescribed motion, and hence the inputs can be a combination of applied generalized forces at some subhinges, and generalized accelerations at the others. The algorithm is based on the SOA articulated    body inertia (ATBI) algorithm for tree systems. The algorithm has O(N) computational complexity, that is the cost increases linear with the number of physical bodies in the system.

    b. If the argument passed is a subgraphs with constraints, then method uses the SOA based Tree-Augmented (TA)    algorithm which involves two tree forward dynamics recursive sweeps and an additional step to compute constraint forces using the OSCM. The Udot generalized accelerations method computed by the method satisfy the constraints. The method is also hybrid in handling prescribed motion subhinges. Also, the algorithm supports the case where the hinge cut-joint constraints are actuated and thus have non-zero T generalized forces. The Baumgarte technique for constraint error stabilization can be enabled by setting the related parameters for the model manager instance.

Embedded Control Algorithms#

The methods described here are for model based computations for use within embedded robotics control stacks.

  • Karana.Dynamics.Algorithms.evalCmLocation(): Returns the current location of a subtree center-of-mass with respect to the subtree’s virtual root. This is a simple wrapper that makes use of the CM frame for the subtree to obtain its location.

  • Karana.Dynamics.Algorithms.evalSpatialMomentum(): Calculate the overall spatial momentum for a subtree. This method combines the spatial momentum contributions of the individual physical bodies in the subtree about a common reference frame.

  • Karana.Dynamics.Algorithms.evalCentroidalMomentum(): Calculate the centroidal spatial momentum for a subtree. This method computes the overall system spatial momentum about the system center of mass. This quantity is referred to as the centroidal momentum and is used in the dynamics and control of legged robotic platforms.

  • Karana.Dynamics.Algorithms.evalCentroidalMomentumMatrix(): Calculate the centroidal momentum matrix for a subtree. This method returns the matrix that maps the U generalized velocity coordinates to the system centroidal momentum. It is used in the dynamics and control of legged robotic platforms.

  • Karana.Dynamics.Algorithms.evalGravityCompensation(): Compute the gravity compensation generalized forces for a subtree system. This method computes the T generalized forces as a function of the system configuration that are needed to compensate for the gravitational load on the system. Ideally, these generalized forces will neutralize the effect of gravity and keep the system in a passive, steady state.

  • Karana.Dynamics.Algorithms.evalInverseDynamics(): Evaluate the inverse dynamics for a subtree. This method implements the fast Newton-Euler (NE) algorithm for the inverse dynamics computation.

  • Karana.Dynamics.Algorithms.evalComputedTorque(): Calculate the computed torque using the Newton-Euler algorithm for a subtree. This method uses the Newton-Euler inverse dynamics algorithm to compute the T generalized forces needed for a desired Udot generalized accelerations at the hinges. This method is used to compute the feed-forward motor torques for executing a motion profile.

Simulation Layer#

System level models#

When modeling a physical system, the multibody dynamics model is a critical, but one contributor to the overall physics of the system. A more complete model of the system requires integration of models for actuator and sensor devices attached to the system. and environmental interaction (e.g., gravity) effecting the system dynamics. kdFlex has a component based, object-oriented architecture for implementing and integrating such device and environment interaction models with the multibody dynamics.

closedloop

Integration of multibody dynamics with component models in closed-loop simulations#

kdFlex supports the implementation of a library of parameterized models, that can be instanced and reused across different simulations. The Karana.Dynamics.StatePropagator and Karana.Dynamics.ModelManager classes supports the development of system level simulations that combine the multibody dynamics with device and environment component models implemented using the Karana.Models.KModel base class. The KModel classes support custom parameter classes and methods for interfacing with the multibody dynamics.

The model manager#

A model manager instance can be used as the simulation manager for integrating the multibody dynamics with instances of component KModel models and other user defined classes to build up system level simulations. Such component models can be registered with the model manager for invocation and execution within the system level simulation.

The model manager class defines the MMFunctions struct with registries for methods of different types. The methods in these registries are invoked at different times in the system level execution. Thus the pre_deriv_fns and the post_deriv_fns methods are called just before and after respectively computing the multibody state time derivative. Thus the pre-deriv methods can be used to set forces etc. that would effect the equations of motion, while the post-deriv methods can be used to query information (e.g., inter-body forces) that depend on the solution to the equations of motion. The pre_hop_fns methods are called before an integration step is taken. These methods can be used to advance any discrete states within the component models. Other callbacks - including for zero-crossing condition - are available to further tailor model manager execution.

While users can add methods to these registries directly, a more common (and recommended) way is to create a KModel component model subclass (see KModel component models) that has slots for compliant methods for implementation (see Model methods section). When a model is registered with the model manager, its methods are automatically registered with the model manager as well. The model manager will thus invoke the model’s methods at the correct times and in the correct order during state propagation.

This model manager design has several features that support the development of complex system level simulations with coupled multibody, device and environment models. Notable features are:

  • support for specialized Karana.Models.KModelParams parameter classes to go hand-in-hand with component models sub-classed from the Karana.Models.KModel class.

  • support for multi-rate models

  • support for tailoring the sequencing of method calls for the component models and the multibody dynamics (e.g., actuator force computation methods should be called before the multibody dynamics is evaluated)

  • ability to create multiple instances of a component model (e.g., one each for a thruster in a bank of thrusters), while allowing custom parameters for each instance.

  • creating a catalog of such component model classes for reuse across simulations.

  • run-time activation and deactivation of the component model instances

  • support for zero-crossing detection to terminate hops exactly when a zero-crossing condition is met.

The MMFunctions with the callback registries are stored on the fns member of the model manager.

The creation and use of the model manager and component models can be found in several of the example scripts including - 2 link pendulum (basic), n link pendulum (procedural) and Slider-crank with loop constraints.

System state#

When using an integrator, the integrator takes ownership of the system state. This is necessary to accommodate the needs of adaptive step integrators which often maintain internal histories of the system state to manage error while propagating the system state. In this perspective, the multibody system objects and component models serve as compute engines for computing the state derivative for the integrator to meet its state propagation needs. Simply changing the multibody system coordinates is not therefore the way to update the simulation state. Such a new state has to be set by calling the model manager setState() method - which also resets the internal state of the integrator. This method is used in the beginning to initialize the system state, and can also be used mid-stream should the need arise.

If setState() method is called mid-stream to set a new simulation time, the model manager will attempt to reschedule all timed events appropriately (see Timed events section). This means, it will attempt to find the next time after the new time that a timed event should be executed. However, since timed events can have non-uniform execution times via the register_fn, it is impossible to capture all corner cases. Hence, this should be used with caution when modifying time mid-stream with non-uniform timed events.

As a reminder, the system state vector is the concatenation of the Q generalized configuration coordinate values and the U generalized velocity coordinate values for the coordinate object objects such as physical subhinge and physical modal body deformation coordinates in the multibody system. The state vector defines the current independent positions and velocities that fully describe the system’s kinematic state at any given moment. A subtle issue of note in this context is the use of global and local coordinates at the physical subhinges level. As discussed earlier in the Pose representations section, physical subhinge such as the SphericalSubhinge use local coordinates centered around local charts to get around the singularities associated with minimal-coordinate attitude representations. As a consequence, the numerical integrator state also makes use of the local coordinates for the physical subhinge. However, to shield external users from having to deal with this under-the-hood issue, the setState() method always expects the physically meaningful, and unambiguous, global coordinates when resetting the system state. Coordinate sanitization is automatically performed at the end of each integration step, and subhinges may re-center their local charts to convert the new global coordinate values into local coordinates as needed.

Tracing/debugging#

The model manager has a trace_state_propagator variable that can used to enable trace messages for the model manager. This can be very helpful when debugging model manager-related and model-related issues. To get enable messages, set trace_state_propagator to True and ensure the logger where you want to see the messages has a verbosity set to at least the TRACE level. In addition, the CallbackRegistrys in fns have a trace_callback_registry variable that can be used to enable trace messages for each CallbackRegistry. To enable the messages, set trace_callback_registry to True for each CallbackRegistry you want to see messages for, and ensure the logger you want to see messages on has a verbosity set to at least the TRACE level.

Linearized state space models#

Since multibody dynamics models are nonlinear, so are the system level models. Designing controllers for such systems with nonlinear models is challenging. While there is a rich methodology for developing controllers for linear systems, this is not the case for nonlinear systems. Control system design and analysis therefore often rely on linearized state space models for control system design and frequency domain analysis (including creation of Bode plots). For nonlinear systems, linearized state space models at specific system configuration set points are utilized to support the control system design and analysis workflow. Towards this, there is built in support in kdFlex for creating linearized state space models from such model manager system level models for user specified sets of inputs and outputs about any configuration set point.

The Karana.Dynamics.Algorithms.stateSpaceGenerator() method can be used to create a Karana.Math.StateSpace instance for a specified set of inputs and outputs. The generate() can then be called on this object to linearize the system and compute the state space A, B, C, D matrices. Since the state space representation is generated using linearization, its values are only valid in a small neighborhood of the configuration used to do the linearization. Additionally, such linearizations are typically meaningful only when the system is in a state of equilibrium, i.e. the accelerations are near zero. Thus, an equilibration step may be needed prior to state space model generation.

Such linearized system based control-system design and analysis is complemented with more complete and thorough checkouts in closed-loop time-domain simulations with the full high-fidelity nonlinear model as described in the System level models section.


KModel component models#

Simulation models provide a structured way to interact with objects in the simulation. For example, they can be used to do things like sense the position and velocity of a joint or a sensor node, apply forces via a joint or actuator node, or other tasks such as data logging. The model manager class provides an API for registering such component models so that their methods and functionality can be included in the overall system dynamics.

At the C++ level, the component models are created by deriving from a templatized Karana::Models::KModel class. All of the template arguments except the first indicate the types of states, parameters, etc. that the model has. The first template argument is the model class itself. The remaining template arguments are derived from specific other classes, e.g., the second template argument must be derived from Karana::Models::KModelParams, the third from Karana::Models::KModelScratch, etc.

The diagram below shows the most complex KModel, one that utilizes all the template arguments. Each of these will be discussed in detail in the sections below.

_images/kmodel_full_light.svg _images/kmodel_full_dark.svg

This diagram just uses preHop and preDeriv as some example methods MyModel may define. See the Model methods section below for more details. In many cases, not all of the template arguments will be needed. The default template arguments start with “No”, e.g., NoParams, to indicate they are not used. For example, suppose we had a model that just used discrete states. Then, the diagram would look like this:

_images/kmodel_discrete_states_light.svg _images/kmodel_discrete_states_dark.svg

Notice that No* is used to indicate that the model does not have any params or scratch. The NoContinuousStates is not needed at the end, since not specifying this argument will pick up the default (which is NoContinuousStates). When specified in this way, the params, scratch, and continuous_states members will all be nullptrs.

Model methods#

Their are six different methods a user can define in a model that will run at various points during the simulation. The user does not need to define all six methods, but must define at least one of them. A model can skip the implementation of unneeded methods. The model’s preDeriv and postDeriv methods will run before and after the multibody derivative, respectively. The preHop and postHop methods will run before and after each simulation hop, respectively. The preModelStep and postModelStep step methods will run before and after each of the model’s steps, respectively. The contents of these methods are model-dependent, and up to the model writer to define.

The preDeriv and postDeriv methods are called at times dependent on the integrator type. The Karana.Models.SpringDamper.preDeriv() is an example implementation of the preDeriv method. The preHop and postHop methods will be called at each hop on the timeline determined by the scheduler. The Karana.Models.SyncRealTime.preHop() method is an example of a preHop method, and the Karana.Models.UpdateProxyScene.postHop() method is an example of a postHop method.

Environment interaction models, such as gravity, do not have a pre-determined step size that they need to run at. However device models often do have specific rates that they need to run at based on the hardware design. The multi-rate step size can be specified for such models. The preModelStep and postModelStep methods will run at rates specified by the model’s multi-rate step size. Model step sizes fall into one of two categories: uniform and non-uniform. Uniform model steps are the most common and are step sizes defined by a constant period. For these models, simply use the KModel setPeriod() method to set the model’s period. Non-uniform models can use the nextModelStepTime method to define their non-uniform rate. This method takes as input the current time and outputs the next time at which the model should step. The Karana.Models.DataLogger.postModelStep() is an example of a postModelStep step method implementation.

Model parameters#

Oftentimes, models utilize parameters in their calculations. For example, a spring damper model may have the spring constant and damping value as parameters. In order to define parameters for your model, create a parameter class that is derived from Karana::Models::KModelParams and contains the parameters you want. Then, set the params member variable for the model equal to a ks_ptr instance of this class during the model’s construction or in its create method. Model parameter classes should also override the isReady method. This method should contain logic to verify that the derived parameter class’s parameters have been initialized. For parameters that are real numbers or math objects such as vectors or matrices, see Math for details on handling of not ready values. The isReady method will be invoked automatically for all registered models as part of the overall simulation initialization. It will be able to flag any not ready parameters for the model instance. This check will help verify for anyone creating an instance of the KModel that they have not accidentally skipped the initialization of all the necessary parameters.

Model scratch#

Sometimes, it is useful to store intermediate results in a model for debugging purposes. The Karana::Models::KModelScratch class gives one a place to store such information. To use it, create a class that is derived from KModelScratch and add class members for the scratch values the model should store. This can be accessed using the scratch member on the model itself. The scratch value should be initialized when the model is created, either in the constructor directly or in the create method.

Discrete states#

Models may have discrete states (states that should not be integrated, but need to be stored and updated as time progresses). Examples of discrete states are the on/off state of a valve or PID integral gain, where the PID model is keeping track of the integrated error separate from the model manager’s integrator, e.g., the model is using an Euler integrator with a fixed step set by the model period. The Karana::Models::KModelDiscreteStates class gives one a place to store such information. To use it, create a class that is derived from KModelDiscreteStates and add class members for the discrete states the model needs to store. This class can be accessed from the discrete_states member of the model itself. The discrete_states value should be initialized when the model is created, either in the constructor directly or in the create method.

Discrete states should be updated by the model in one of the following methods:

These methods run at the hop-boundaries. The method used to update the discrete states is model dependent. Models that need to update states at a rate set by the model should use either preModelStep or postModelStep. Models that need to update their state more frequently e.g., whenever there is a “good” state, should use the preHop or postHop methods. A “good” state refers to one that the integrator will keep, as opposed to states in the preDeriv and postDeriv method that might represent states where an adaptive integrator has taken too large of a step and will be rolled back. Using the pre* vs. post* methods is also model dependent. The pre* methods run first, and so are a good choices when one wants to update a state immediately when a command comes in, e.g., turning on power or opening a valve. The preHop method does not know the exact hop size. It has the intended hop size, but this may be modified by zero-crossing events, so if the true hop size is needed, then the postHop method should be used over the preHop method. The preModelStep and postModelStep do not have this same issue, as their size is set by the model and not modified by zero-crossing events.

Continuous states#

Models may have continuous states (states that should be part of the model manager’s integrator). Examples of continuous states are values used to calculate noise in an IMU model or values used to calculate fuel burned in a thruster model. The model’s continuous states must be expressible as a vector of doubles (a km::Vec in C++ or numpy.array in Python). To use continuous states, derive a class from Karana::Models::KModelContinuousStates and override the getX, setX, and getdX methods. These retrieve the current continuous states from the class, set the continuous states for the class, and retrieve the derivatives of the continuous states from the class, respectively. All of these methods make use of Eigen::Ref at the C++ level, so they should be calculated and stored on the class itself, and an Eigen::Ref returned from them if the model is a C++ model.

The continuous state derivatives should be updated in either the preDeriv or postDeriv methods. A method at the derivative level must be used, as these are used by the integrator to propagate the state forward in time. The preDeriv runs before the multibody dynamics and the postDeriv runs after the multibody dynamics. The method used by a model often depends on whether the continuous state derivatives need updated multibody dynamics values or not.

Registering and unregistering models#

To affect the simulation, models must be registered with a model manager. It is recommended that when one writes a model they add a ModelManager.registerModel call in the model’s create method (or the __init__ method if it is a Python model) so that this is done automatically. The model manager will run the model’s methods at the appropriate times. At any time, models can also be unregistered from the model manager. This will effectively disable the model. To register or unregister a model, simply use the model manager registerModel() or unregisterModel() methods, respectively. This provides a convenient way of activating and deactivating models at run-time in response to simulation mode changes.

Inputs and outputs#

The philosophy for connecting KModels is to use shared pointers to C++ classes. This is preferable to completely encapsulating code within a KModel, as it makes it:

  • Easier to unit test.

  • Easier to update with new versions in the future.

  • Simplifies architecture by removing the need for a separate, shared signal buffer.

This is understood easiest with an example. Suppose one wants to drive a PID KModel with the output of some profile generator. At first, it may be tempting to create an architecture similar to the one shown in the diagram below:

_images/kmodel_pid_connection_1_light.svg _images/kmodel_pid_connection_1_dark.svg

However, this fully encapsulates the profile generator code into the KModel. This is undesirable for a few reasons:

  1. If at a later time one wants to swap to a different profile generator, e.g., from a linear profile generator to a cubic profile generator, they need to swap out the entire KModel.

  2. It makes unit-testing the profile generator code more difficult, as one needs to create a KModel and supporting infrastructure to be able to test it, rather than being able to just test the profile generator code in isolation.

  3. This requires something to tie the buffers between the KModels together, or a small class that contains the buffer that the two can share.

Since something like 3 above is needed anyway, is is simpler and beneficial to instead assemble the models as shown below:

_images/kmodel_pid_connection_2_light.svg _images/kmodel_pid_connection_2_dark.svg

This has a few advantages:

  1. If one has a base class for profile generators, and they write each of these KModels to take an instance of that base class, then one can easily swap out profile generators if need be. There is no need to keep creating a new KModel for each profile generator. This reduces the amount of code that needs to be written as new profile generators are added in the future.

  2. In this architecture, one can easily write unit tests for a profile generator, as it can be created without any KModels or associated supporting infrastructure: a `ModelManager, etc.

  3. The profile generator itself is the shared buffer, provided that the base class has a getter/setter for the profile value.

  4. This is more extensible than the original diagram. For example, suppose that instead of updating the generator at a fixed interval with a KModel, one wants to update it at zero crossing events. One can easily do this by just wrapping the profile generator in a zero crossing event rather than a KModel, and the PID can still use the output of that profile generator as it normally would. Another example is a constant profile generator that never needs to be updated, or is being updated by the user from the Python REPL as they are debugging. This second architecture greatly expands the types of scenarios this profile generator and PID controller can used it in, as the profile generator it is no longer constrained to the update restrictions of KModels.

C++ base class#

The KModel base class in c++ utilizes the curiously recurring template pattern. This pattern allows the base class to detect which methods a derived model class has defined. This provides a way to register only the methods that a user has defined for a model with the model manager when registering the model. In addition, it also provides other conveniences, such as the params, scratch, etc. member variables’ types matching the derived model’s class’ types.

// Params class for MyModel
class MyModelParams : public Karana::Models::KModelParams {
  public:
    // Override the `isReady` method
    bool isReady() const final;
    
    // Include parameters here
    float: my_param
    ...
};

class MyModel : public Karana::Models::KModel<MyModel, MyModelParams> {
    // Define methods for the model such as `preDeriv` or `postModelStep` here
    ...
};

The diagrams at the beginning of the KModel component models section show some other examples of using the templated KModel class.

Python base class#

The Karana.Models.KModel bass class in Python compares derived methods with their base class counterparts to determine whether those methods have been overridden or not. Adding params, scratch, discrete states, and continuous states is done by populating member variables in the constructor. The typing for these members (params, scratch, discrete_states, and continuous_states) is provided by a generic in the base KModel class. Similar to C++, the No* versions should be used if the member will not be used. The Python versions of these classes are similar to the C++ with one exception; the KModelParams class is defined from DataStruct, so the parameters can be defined with type hints (that are verified at runtime) by adding them as one would do with any other DataStruct.

# Params class for MyModel
from Karana.Models import KModelParams, KModel, NoScratch, NoDiscreteStates, NoContinuousStates
class MyKModelParams(KModelParams):

    # Override the `isReady` method
    def isReady()-> bool:
        ...

    # Include parameters here
    my_param: float
    ...

class MyModel(KModel[KModelParams, NoScratch, NoDiscreteStates, NoContinuousStates]):
    def __init__(self, name: str, sp: ModelManager):
        super().__init__(name, sp)
        self.params = MyKModelParams(f"{name}_params")
        sp.registerModel(self)

    # Define methods for the model such as `preDeriv` or `postModelStep` here
    ...

Debugging#

Every KModel has a debug_model boolean member variable. This variable is used to enable/disable debug messages for the model. When running a simulation, to get debug messages for a particular model, one should ensure they have a logger whose verbosity is set to at least the debug level and then set the debug_model member variable to true.

To instrument models with these messages, in C++ use

if (debug_model) [[unlikely]] {
    double my_var = someLongFunction();
    stdDebugMsg(std::format("my_var is : {}", my_var);
}

and in Python use

if self.debug_model:
    my_var = someLongFunction()
    self.stdDebugMsg(f"my_var: {my_var}")

KModels and associated classes (params, scratch, discrete states, and continuous states) can also override dumpString methods. These methods will be called and combined whenever KModel.dump() is called, which will display an overall dump for the model. In C++, these methods should be overridden like

class M1Scratch : public kmo::KModelScratch {
  public:
    using KModelScratch::KModelScratch;
    double t = 0.0;

    // Example dumpString override. The returned string should utilize the prefix in front of each line.
    // This can be done in a similar fashion for params, discrete states, and continuous states.
    std::string dumpString(std::string_view prefix = "",
                           const kc::Base::DumpOptions * /*options*/ = nullptr) const override {
        return std::format("{}t: {}\n", prefix, t);
    }
};

class M1 : public kmo::KModel<M1, kmo::NoParams, M1Scratch> {
  public:
    // Other model-related code, constructor, etc. here.

    // Example dumpString override for the model
    std::string dumpString(std::string_view prefix = "",
                           const kc::Base::DumpOptions * /*options*/ = nullptr) const override {
        std::string ret = std::string(prefix);
        // Any custom information should go here.
        ret.append(std::format("Dumping model {}\n", name()));

        // Call the parent method. Here, we add a "    " to the prefix to tab over
        // everything the parent adds relative to the statement we just printed above.
        // The parent method will take care of calling the dumpString methods for the
        // params, scratch, discrete states, and continuous states if appropriate.
        ret.append(kmo::KModel<M1, kmo::NoParams, M1Scratch>::dumpString(
            std::format("{}    ", prefix)));
        return ret;
    }
};

Similarly, in Python, these methods can be overridden like

class M1Scratch(KModelScratch):
    def __init__(self):
        super().__init__("scratch")
        self.t: float = 0.0

    def dumpString(self, prefix: str = "", options: DumpOptionsBase | None = None) -> str:
        return f"{prefix}t: {self.t}\n"

class M1(KModel[KModelParams, M1Scratch, M1States, KModelContinuousStates]):
    # Other model-related code, constructor, etc. here.

    def dumpString(self, prefix: str = "", options: DumpOptionsBase | None = None) -> str:
        # Add our own custom dumpString line. Then, call the parent method with a tab added
        # to the prefix. The parent method will take care of calling the params, scratch, 
        # discrete states, and continuous states dumpString methods if appropriate, and the
        # extra tab added to the prefix will tab them over relative to the custom line we 
        # added here.
        return f"{prefix}Dumping mode {self.name()}\n" + super().dumpString(
            prefix + "    ", options
        )

KModel DataStructs#

In order to serialize/deserialize a KModel, it must have an associated DataStruct: see DataStruct for details. If the model has parameters, a DataStruct will also need to be created for its parameters, and the parameter DataStruct model should be nested in the KModel’s DataStruct, i.e., the parameter DataStruct should be a field of the KModel DataStruct.

The KModel DataStruct should be derived from KModelDS and override the toModel method. The toModel method is the method that creates a KModel instance from the DataStruct. In some cases, this method will need other simulation objects, e.g., Nodes or PhysicalBodys, used by the KModels constructor. The toModel has a SubGraphDS as an argument that is used for this purpose. The IdMixin.getObjectsCreatedById static method can be used to link IDs used by a DataStruct to object instances in the current simulation. To utilize this, the KModel’s DataStruct should contain fields for the IDs of the objects it needs during construction.

As an example, consider the portion of SpringDamperDS shown below. This model uses two nodes in its constructor. The IDs of these nodes are saved as fields in the DataStruct. Then, they are used in the toModel method to find the actual node objects.

class SpringDamperDS(KModelDS[SpringDamper]):
    """DataStruct for SpringDamper model.

    Parameters
    ----------
    n1 : int
        ID of the first node of the spring damper.
    n2 : int
        ID of the second node of the spring damper.
    params : SpringDamperParamsDS
        Parameters for the SpringDamper model.
    """

    n1: int
    n2: int
    params: SpringDamperParamsDS

    def toModel(self, mm: ModelManager) -> SpringDamper:
        """Create a SpringDamper model instance from this SpringDamperDS.

        Parameters
        ----------
        mm : ModelManager
            The ModelManager to associate this model with.

        Returns
        -------
        SpringDamper
            An instance of the SpringDamper model.
        """
        # Find the nodes needed for the model by ID
        dark = IdMixin.getObjectsCreatedById(self.n1)
        if dark is None or len(dark) != 1:
            raise ValueError(
                f"Could not find unique object associated with original node 1. Found {dark} for node {self.n1}."
            )
        else:
            n1 = dark[0]

        dark = IdMixin.getObjectsCreatedById(self.n2)
        if dark is None or len(dark) != 1:
            raise ValueError(
                f"Could not find unique object associated with original node 2. Found {dark} for node {self.n1}."
            )
        else:
            n2 = dark[0]

        # Create the model
        model = SpringDamper(self.name, mm, n1, n2)
        self.params.setParams(model.params)
        if self.period > 0:
            model.setPeriod(self.period)

        # Keep track of objects created from this DS
        self.addObjectFromId(model)

        return model

In addition, the KModel itself should define the toDS method. The “Karana/SOADyn/pybind11KModel.h” file includes helper methods to create these in pybind11 code. For example, see the excerpt from GeneralKModels_Py.cc below.

#include "Karana/SOADyn/pybind11KModel.h"

// This macro must be called before the associated `addToDSMethod` is called. 
// This creates the appropriate type caster.
ADD_TO_DS_METHOD_CASTER(SpringDamper, Karana.Models.GeneralKModels_types, SpringDamperDS)

PYBIND11_MODULE(GeneralKModels_Py, m) {
    // Define SpringDamper class for pybind11 like any other class
    ...

    // Add the toDS method using the helper
    kd::addToDSMethod<SpringDamper>(
    PySpringDamper, "SpringDamper", "Karana.Models.GeneralKModels_types", "SpringDamperDS", "fromModel");
}

Time-domain simulations#

The primary requirement for time-domain simulations is the accurate propagation of the system state, kdFlex supports this primary objective while also accommodating several other important simulation requirements such as:

  • support for integrating multibody dynamics with component device and environment interaction models

  • support for using multi-rate models within the system simulation

  • support for terminating integration steps at zero-crossing boundaries

  • support for modeling arbitrary time delays

  • support for step validation and rollback

  • support for handling discrete, discontinuous run-time changes to system dynamics

  • support for activating and deactivating component models at run-time

  • scheduling and registering of arbitrary timed events during a simulation run

  • support for the use of different types of multibody dynamics solvers

  • support for accurate and high order numerical integrators as needed, including variable-step and stiff integrators

  • providing deterministic and unambiguous handling of time representations

  • support verification of parameter initialization across all model instances

  • support for periodic data logging

  • support for live updates to visualization and data plots at run-time

  • fast computational performance for closed-loop simulation use

  • embeddable for hardware-in-the-loop simulations

The state propagator class supports these features required for the development of realistic and complex system level time-domain simulations.

Numerical integration#

For time-domain simulations, the class supports the instantiation of a Karana.Math.Integrator numerical integrator from a large suite of fixed and variable step integrators for time domain state propagation and simulation. The integrator options range from the fixed step Karana.Math.EulerIntegrator Euler 1-step integrator and the fourth order Karana.Math.RK4Integrator integrators, to the Karana.Math.CVodeIntegrator and Karana.Math.ArkExplicitIntegrator large family of variable step integrators from Lawrence Livermore’s SUNDIALS numerical integrator suite.

The state propagator#

The state propagator class is derived from the model manager class and adds the functionality for propagating the model manager state in time using numerical integrators.

State propagation hops#

The state propagator advanceTo() method can be used to request the advancement of the system state over time for a simulation scenario. Such a time advancement request is broken up by the state propagator into discrete state propagation time intervals referred to as time hops. The different call rate times of the component models are used to determine the (irregular) time hop sizes required to meet the overall propagation time barrier requirements. The numerical integrator propagates the system state across individual hops by using the state propagator to orchestrate calls to the methods of the registered KModel component models and the multibody dynamics in the correct order to compute the state derivatives.

Zero-crossings#

In addition to this normal state propagation process, the state propagator also has support for zero-crossing detection. This phrasing is used for situations where a simulation hop is required to terminate when an implicitly defined, state dependent, condition is met.

zero crossing

Terminating time hops at zero-crossing events#

Examples of this are body collision events, state-dependent triggers etc. When a zero-crossing condition method is registered with the state propagator, the propagator will monitor these zero-crossing conditions, and when triggered, will use a regula-falsi iteration to find the precise time boundary when the condition triggered to terminate the hop, execute appropriate registered actions before proceeding on to the next hop.

Timed events#

The state propagator also allows the registering of user defined Karana.Dynamics.TimedEvent instances along with associated custom handlers. The time event executions can be one time, irregular, or periodic. The state propagator will ensure that hops terminate at the registered time boundaries for such timed events to invoke their associated handlers. Examples of use of timed events are for simulation needs such as data logging, updating visualization etc. This flexible capability allows user to incorporate arbitrary events into their simulations.

kdFlex uses numpy.timedelta64 nanosecond precision class for time (Karana::Math::Ktime at the C++ level). Its use avoids any ambiguities that can occur from double precision representations of time.


Geometry Layer#

Scene layer#

kdFlex defines an abstract interface for working with 3D geometries attached to the physical physical bodies in the multibody system. This abstract interface and its various implementations make up the Karana.Scene.Scene Scene layer. kdFlex provides various scene implementations for different purposes and third-party backends. For example, Karana.Scene.WebScene is a scene implementation that provides a live 3d visualization of the simulation in the web browser using three.js. Karana.Scene.CoalScene implements the same scene interface for collision detection using Coal. This architecture is extensible and allows the addition of new backend scenes by simply implementing new specializations of the scene class.

viz updates

Updating of visualization scene from simulation data#

ProxyScene#

There is often a need for multiple scene instances in a single simulation - for example the need for both collision detection and 3d graphics. Karana.Scene.ProxyScene is a scene implementation that manages other scene implementations. The multibody and other multibody classes by and large interface and interact with the proxy scene manager class, and use it to mediate the interactions with the registered scene backends. We refer to Scene implementations managed by proxy scene as client Scenes. In addition to synchronizing state across client Scenes, proxy scene also acts as a bridge between the frame and scene layers. That is, proxy scene uniquely supports attaching objects from the Scene layer to Frames from the Frame layer. The upshot is, as a frame moves, the proxy scene will correspondingly move attached geometries in all of the client Scenes.

proxysceneimg

ProxyScene interface to client Scenes#

A typical setup in a full simulation will look like this:

  1. Create a Karana.Dynamics.Multibody

  2. Create a proxy scene

  3. Create Scene objects in the proxy scene instance, and attach them to physical bodies and other frames

  4. Create various client Scenes as needed and register them using the proxy scene registerClientScene() method.

This order doesn’t need to be strictly adhered to. It’s also reasonable to populate the Karana.Dynamics.Multibody and proxy scene in tandem, creating each body and its attached geometries simultaneously. A client scene can also be registered at any time. proxy scene immediately syncs up a newly registered client scene and continues to update the client scene with any further changes.

As a simulation evolves and a frame moves around, proxy scene will need to be told when to update the corresponding transforms in its client Scenes. To sync a client scene’s transforms with the Frame layer, call the proxy scene update() with the client Scene in question as an argument. To update all client Scenes, just call update() with no arguments.

Each Karana.Scene.ProxySceneNode and Karana.Scene.ProxyScenePart implementation in proxy scene has a corresponding scene node and scene part implementation in each client scene which should be used exclusively with that client Scene. In most cases, where proxy scene is managing the Scene layer, this means creating instances of proxy scene node and proxy scene part to populate the ProxyScene (and consequently all of the client Scenes).

Scene objects#

Each scene is a container for instances of Karana.Scene.SceneNode and Karana.Scene.ScenePart.

Each scene node has a Karana.Math.SimTran, which consists of a position, rotation, and uniform scale factor relative to a parent. scene node instances may be attached to one another with attachTo(), giving the overall Scene a tree structure (with an implicit root node). Each scene node also has a visibility flag, which can be used to hide the node and all of its descendants.

A scene part is a scene node that additionally has a 3D geometry, which can either be a primitive shape such as a sphere or cylinder, or a triangular mesh. A scene part also has a material describing its surface properties and appearance.

Typically a scene will consist of a tree, where branches are scene node instances, and leaves are scene part instances.

_images/scene_tree_light.png _images/scene_tree_dark.png

Geometries#

Each scene part has a Karana.Scene.AbstractStaticGeometry defining its 3D shape. A geometry may be an analytical primitive shape (e.g., Karana.Scene.BoxGeometry, Karana.Scene.SphereGeometry), or a triangular mesh (typically Karana.Scene.StaticMeshGeometry).

Creating a scene part requires a VarStaticGeometry, which is a variant that can be a shared pointer to any of the geometry types defined in kdFlex:

Additional user-defined geometry types can also be used by first upcasting to Karana.Scene.AbstractStaticGeometry.

The same geometry instance may be passed to multiple scene part instances for easy geometry instancing.

Materials#

Each scene part also has a material. There are currently two choices for material type:

Creating a material is a two-step process. First, create a corresponding info Karana.Scene.PhysicalMaterialInfo or Karana.Scene.PhongMaterialInfo, and update its fields as desired. Then to create the actual material, pass the info instance into the material’s create method.

Creating a scene part requires a VarMaterial, which is a variant that can be a shared pointer to either material type.

A part’s material may be modified at any time by calling setMaterial() to assign a new material instance to the part.

Layers#

Each scene part belongs to layers. Layers are implemented using a layer_t which is a 32-bit unsigned integer, where each bit represents a different layer that a scene part may inhabit. Scene parts may then be filtered using a layer_t bitmask, such that a part is filtered out if it doesn’t have any layers in common with the bitmask.

The least significant twenty-four bits are set aside for user defined layers and will not be used internally by kdFlex. For convenience kdFlex defines the constants Karana.Scene.LAYER_CUSTOM0 through Karana.Scene.LAYER_CUSTOM23, which are simply the first twenty-four powers of two.

The most significant eight bits are reserved for layers defined by kdFlex, with constants Karana.Scene.LAYER_RESERVED0 through Karana.Scene.LAYER_RESERVED7. kdFlex currently makes use of the first four reserved layers:

kdFlex also defines several layer sets:

Filtering based on layers is done in two places:

  1. ProxyScene.registerClientScene takes a layer_t argument, defaulting to LAYER_PHYSICAL_ALL. This can be used to filter which scene parts should be implemented in a registered client scene.

  2. Client scenes may filter parts, depending on the application. For example, Karana.Scene.GraphicalSceneCamera has a layer_t bitmask controlling which layers should be rendered (defaulting to {py:const}`Karana.Scene.LAYER_GRAPHICS).

Uniform and intrinsic scale#

Each scene node has a Karana.Math.SimTran, which includes a scale factor relative to the node’s parent. This can be used to scale entire subtrees within a scene. The scale factor is uniform, meaning it is a scalar applied in all three directions. Without this limitation it would be possible to introduce skew by chaining together rotations and non-uniform scaling transforms, which is problematic for many scene backends.

To support non-uniform scaling, the scene part class has the notion of intrinsic scaling. The intrinsic scaling can be non-uniform, and is only applied directly to the part and is ignored when computing the world transform for any descendant parts. A part’s intrinsic scale can be accessed through the getIntrinsicScale and setIntrinsicScale methods.

Importing assets#

Scene assets such as geometries and materials are often created offline and need to be loaded from files. kdFlex defines an abstract interface Karana.Scene.AbstractImporter and implementation Karana.Scene.AssimpImporter, which can be used to load asset files into native kdFlex types. To load a file, first create an AssimpImporter instance, then invoke the importFrom method with a filepath argument. This returns a Karana.Scene.ImportResult containing any assets found in the given file.

There are multitude of widely used file formats, whose contents may range from a single asset to an entire serialized scene, so the ImportResult may consist of any number of assets in general.

Parts managed by a multibody#

Scene parts attached to a physical body should preferably be managed by the body by calling PhysicalBody.addScenePartSpec. The Karana.Scene.ScenePartSpec argument is a plain struct with all of the information needed to eventually create a scene part. This has a number of benefits:

  • The scene part’s lifetime is automatically managed by the body

  • The scene part can be specified immediately while deferring its creation until a proxy scene is registered with the multibody via setScene.

  • The scene part will be included when serializing the multibody


Visualization#

kdFlex provides a Scene implementation for 3d visualization called Karana.Scene.WebScene. Karana.Scene.WebScene is implemented on top of three.js, and uses WebGL to do hardware accelerated 3d-rendering in the web browser. This makes it possible to bring up a live, interactive visualization of a simulation on a remote machine by simply opening the correct URL in a web browser. kdFlex also comes with a standalone electron application that can be used for local 3d visualization in lieu of the web browser option.

In most cases, where proxy scene is managing the scene layer, graphics can be enabled by creating the Karana.Scene.WebScene client scene and registering it via proxy scene registerClientScene(). This will automatically populate the Karana.Scene.WebScene client with whatever geometries have been set up in proxy scene.

WebUI#

To instantiate Karana.Scene.WebScene, first create an instance of Karana.WebUI.Server, which manages communication between the simulation process and any number of connected front-end clients. Karana.WebUI.Server accepts connections on a port specified at construction time and queryable by calling Karana.WebUI.Server.port().

To open a browser-based front-end, simply enter the URL to access the port over http. For example, if Karana.WebUI.Server.port() returns 9090 and the simulation is running locally, enter http://localhost:9090 in your web browser’s address bar. If the simulation is running on a remote machine, replace localhost with an IP address or domain that resolves to the simulation server. It’s not always possible for Karana.WebUI.Server to know how you will be accessing it, but Karana.WebUI.Server.guessUrl() returns a best-guess URL string.

To open the standalone front-end for a locally running simulation, call Karana.WebUI.Server.launchLocalClient(). This launches an electron application on the same machine as the simulation that automatically connects to the simulation server.

The Visualization notebook provides an example of using the kdFlex visualization capability .


Collision dynamics#

Collision detection is handled by collision engines. These detect whether objects are colliding, and provide information like the penetration of the collision and the collision normal. The Karana.Collision.FrameCollider class is a generic way to capture the information coming from collision engines. Once this information is gathered, contact forces can be calculated from it. The Karana.Models.PenaltyContact model passes the information from the FrameColliders to classes derived from Karana.Collision.ContactForceBase: these are the classes which calculate and apply the contact forces. The diagram below illustrates the flow of data graphically:

_images/collision_diagram_light.svg _images/collision_diagram_dark.svg

Each of the pieces of this pipeline are explained in detail in the subsections below.

Collision engines#

Currently, Karana.Scene.CoalScene is the only collision engine that comes packaged with kdFlex. However, more may be added in the future. Karana.Scene.CollisionScene is an extension of scene that adds a more specialized interface for querying collisions that can be fed back into the simulation for contact dynamics. Karana.Scene.CoalScene is built upon the Coal project that implements Karana.Scene.CollisionScene. In most cases, where proxy scene is managing the Scene layer, collisions can be enabled by creating a Karana.Scene.CoalScene client scene and registering it via proxy scene registerClientScene(). This will automatically populate the CoalScene client with whatever geometries have been set up in proxy scene.

FrameCollider#

The Karana.Collision.FrameCollider class is a helper that maps collisions from a Karana.Scene.CollisionScene to the frame layer. Karana.Collision.FrameCollider.collide() sweeps through the Karana.Scene.CoalScene and invokes the registered callback for each pair of contact points between frames due to their attached geometries. This process provides a pathway for returning information and invoking simulation level actions based on events triggered in the collision client scenes.

To ignore collisions between frame pairs, call the FrameCollider.ignoreFramePair method. In many cases a multibody model may have overlapping geometries between which collisions must be ignored. The convenience method FrameCollider.ignoreAllCurrentlyTouchingPairs sweeps through and ignores all such pairs.

PenaltyContact#

The Karana.Models.PenaltyContact uses FrameCollider(s) and applies penalty forces to physical bodies based on their contact penetration, relative velocity, etc. The PenaltyContact model uses a ContactForceBase class to perform the contact force calculations. This can be any class derived from ContactForceBase. The FrameCollider(s) and ContactForceBase class are all passed as constructor arguments to PenaltyContact. For example, the Karana.Collision.HuntCrossley contact force calculation uses a Hunt-Crossley contact model for normal forces and Coulomb friction for the tangential component. The PenaltyContact can handle collisions coming from multiple sources (multiple FrameColliders).

ContactForceBase#

Every contact force calculation is done on classes derived from ContactForceBase. Derived classes must override the computeForce method. This method receives the Karana.Collision.FrameContact structure for the collision as well as two nodes (one for each body involved in the collision). The computeForce method uses this information to calculate the contact force (as a SpatialVector) and returns it.

Putting it all together#

The steps to add collision detection and contact forces to a simulation are as follows:

  1. Create collision engines. Oftentimes, only one collision engine will be used, but there are scenarios where there may be multiple.

  2. Create a FrameCollider for each collision engine.

  3. Create a PenaltyContact with the FrameCollider(s) and ContactForceBase as constructor arguments.

  4. Set parameters for ContactForceBase class if appropriate.

The 2 link pendulum (collisions) example notebook illustrates the use of collision dynamics with kdFlex.

Simulation Core#

Prefabs#

Prefabs are hierarchical, self‑contained, reusable components that can be assembled into a larger simulation.

Typical use‑cases include:

  • A recurring subsystem, e.g., a thruster, helicopter rotors, a link in a robotic arm.

  • A “template” that can be instantiated many times with different parameters.

  • A logical grouping of bodies, joints, and associated KModels.


Config, Context, and Params#

Each Prefab contains a Config, Context, and Params. These are described in the table below.

Role

What it holds

Examples

Config

Creation-time configuration data for the Prefab. This information defines items that should not change after construction, and defines the Prefab’s structure. These are also used to select between different “variants” of a Prefab.

For example, a thruster Prefab may have a few different thruster KModels that can be used, and which one a particular Prefab instance uses would be selected in the Config.

Context

Data that defines how a Prefab connects to the rest of the simulation.

The parent physical body that the Prefab will connect physical bodies it creates to, the model manager to connect KModels it creates to

Params

All other values to used to create the Prefab.

Mass properties, dimensions, etc.

Prefab initialization#

When a new Prefab instance is created, the following steps are executed in order:

Step

Method

Purpose

What to put in

1

runBeforeInitialSetParent

Do any work that must be done before this Prefab’s parent is set.

Put in any custom logic that needs to run for the Prefab before its parent Prefab is set.

2

checkParentCompatible / checkChildCompatible

When a Prefab’s parent Prefab is set, the parent Prefab runs checkChildCompatible on the Prefab being added as a child, and the new child Prefab runs checkParentCompatible on the new parent Prefab. These methods should return True if the parent/child is compatible, and throw an error if it is not.

Any logic to determine if the parent/child is compatible. These methods are designed to help restrict what the parent/children are allowed to be, if any restrictions exist. If the criteria are not met, then an error should be raised. These methods, if defined, will sometimes make use of PrefabInterfaces. See the Prefab interfaces section for details.

3

addChildPrefabs

Create any children Prefabs. For example, a helicopter Prefab may create rotor Prefabs. The initialization logic brings the new child prefabs up to the addChildPrefabs stage. Meaning, all children Prefabs will be added recursively before moving on to the next step, i.e., all Prefabs will be created before any Prefab has multibody objects added in the next step.

Any children Prefabs that should be created by this Prefab.

4

addMultibodyObjects

Create all multibody objects that belong to this Prefab. As in the previous step, all Prefabs in the hierarchy will have addMultibodyObjects called before moving on to the next step.

Calls to add multibody objects such as physical bodies via addBody or nodes via addNode.

5

addKModels

Create all KModels that belong to this Prefab. As in the previous step, all Prefabs in the hierarchy will have addKModels called before moving on to the next step.

Logic to create any KModels that belong to this Prefab.

6

connectKModels

Connect KModels together.

Any logic needed to connect KModels together. This will often require finding other KModels in other Prefabs in the hierarchy. See Requesting information from the Prefab hierarchy for details on how to do this.

Requesting information from the Prefab hierarchy#

Prefabs expose a set of helpers that allow a Prefab to query its ancestors or descendants for information.

The requestFromHierarchy method takes a filesystem-like path (can contain globs, wildcards, etc.), a callable, and an optional root. This method obtains any Prefabs that match the filesystem-like path as referenced from the root, if defined, or the root of the entire Prefab hierarchy if not defined. Then, the callable is run on each of these matching Prefabs. The callable should be of type Callable[[Prefab[Any, Any, Any,]], T | None]. In other words, it should take a Prefab as an argument, and return a type or None.

Below is an example callable to get a GravityInterface if the Prefab implements the GravityProviderInterface (you can read more about PrefabInterfaces in the Prefab interfaces section).

def getGrav(p: Prefab[Any, Any, Any]) -> GravityInterface | None:
    if isinstance(p, GravityProviderInterface):
        return p.getGravityInterface()
    else:
        return None

To use this to search across the entire Prefab hierarchy, one would make the call like this.

all_grav_interfaces = self.requestFromHierarchy("**", getGrav)

To request only gravity interfaces from children of this Prefab, one would make the call like this.

children_grav_interfaces = self.requestFromHierarchy("**", getGrav, self)

The other request methods follow the same pattern, but add some extra logic for convenience. requestUniqueFromHierarchy follows the same process, but ensures that there is only one object returned after mapping the callable over all the matching Prefabs. If there are no objects returned or more than one object returned, an error is thrown. requestClosestFromHierarchy tracks each returned object’s distance to the Prefab that made the request. Only the object closest is returned. If there is a tie for closest or no objects are returned, then an error is thrown.

Prefab interfaces#

PrefabInterfaces provide a convenient way to ensure that a Prefab meets certain requirements. For example, the GravityProviderInterface ensures that Prefab implements a getGravityInterface method with the signature

def getGravityInterface(self) -> GravityInterface:

The PrefabInterfaces are used with the isinstance method to ensure a Prefab meets that interface. For example:

# Let p be a Prefab, then
if isinstance(p, GravityProviderInterface):
    # This Prefab meets the requirements of the GravityProviderInterface
    ...
else:
    # This Prefab does not meet the requirements of the GravityProviderInterface
    ...

Adding bodies and nodes#

Prefabs provide convenience methods for adding physical bodies and nodes. The addBody method can be used to add a physical body. It takes a parent physical body where the new body will be attached and a child body. The child body can be either a physical body or a BodyDS. If it is a physical body, then the method just ensures that it is indeed a child of the parent physical body. If it is a BodyDS, then it creates a new body based on the provided information and attaches it to the parent physical body.

The addNode method functions similarly. It takes as arguments a parent physical body, and the node as either a node instance or a NodeDS. If it is a node instance, it ensures that the provided node is attached to the parent physical body. If it is a NodeDS, then it creates a new node and attaches it to the parent physical body.

Converting Prefabs to a DataStruct and vice-versa#

The toDS method can be used to convert a Prefab to a data struct. Oftentimes, this does not need to be overridden when creating a new Prefab, since it will automatically capture the derived Prefab’s Config, Context, and Params, as well as its location in the Prefab hierarchy, which is typically all that is needed.

When converting from a data struct to a Prefab, the fromDS method can be used.

BasicPrefab#

The BasicPrefab is a commonly-used Prefab when importing/exporting to/from various file types. For example, URDF files can be turned into a BasicPrefabDS, and then into a BasicPrefab. See the BasicPrefabDS’s fromFile method for more details on the file types supported.

BasicPrefab also has a createStandalone method to create a standalone simulation from a BasicPrefabDS. This will create and populate a state propagator and multibody with the information on the BasicPrefabDS and create a BasicPrefab from it.

DataStruct#

The DataStruct Python class is built upon pydantic ‘s BaseModel and offers a useful way to define structured data in Python. It catches typing errors at runtime, which allows for early error detection and facilitates throwing better exceptions. This helps users efficiently fix problems. For fundamental usage that overlaps with pydantic.BaseModel, refer to the pydantic documentation.

Type Checking and Validation#

DataStruct leverages pydantic ‘s robust type checking, ensuring that data conforms to defined types at creation and when fields are set. This allows for early error detection and informative exceptions.

Basic Validation#

One can define fields with specific types and add validation rules using Annotated and pydantic.Field:

from typing import Annotated
from Karana.KUtils.DataStruct import DataStruct
from pydantic import Field

class A(DataStruct):
    """
    Parameters
    ``````--
    a : int
        Description for a.
    b : str
        b is a string.
    c : Annotated[int, Field(gt=0)]
        Positive integer.
        I'm a long description.
    d : float
        I'm a float.
    """
    a: int
    b: str = "hello"
    c: Annotated[int, Field(gt=0)] # 'c' must be a positive integer
    d: float = 2.2

# This will work fine
a = A(a=3, b="hello", c=4)

# This will fail because 'c' must be greater than 0
# b = A(a=3, b="hi", c=-1)

Validation is also enforced when modifying fields after a DataStruct instance has been created.

a = A(a=3, b="hello", c=4) # Instance created successfully

# This will fail as the value for 'c' is invalid
# a.c = -1 
Custom types and quantities#

Karana.KUtils.Ktyping defines convenient types that utilize the Python pint package.

Here’s an example using the Mass (a scalar value that must have units corresponding to mass) and Length3 (3-vector with units that correspond to length) types:

from Karana.KUtils.DataStruct import DataStruct
from Karana.Math.Kquantities import ureg
from Karana.Math.Ktyping import Mass, Length3
import numpy as np

class A(DataStruct):
    m: Mass
    l3: Length3

# These will work (can be floats or quantity objects with compatible units)
a = A(m=3.0, l3=np.zeros(3))
a = A(m=3.0 * ureg.slug, l3=np.ones(3))
a = A(m=3.0 * ureg.slug, l3=np.ones(3) * ureg.mm)

# This will fail due to incompatible units (ft for Mass)
# a = A(m=3.0 * ureg.ft, l3=np.ones(3) * ureg.mm)

The system also provides custom unit-less types like Vec3 (for 3-element numpy arrays) and Mat33 (for 3x3 numpy arrays), which include shape and type validation. There are also convenient checks for use in Annotation, like normCheck, which validates against a specified norm value and tolerance:

import numpy as np
from typing import Annotated
from Karana.Math.Ktyping import Vec3, normCheck
from Karana.KUtils.DataStruct import DataStruct

class V3norm(DataStruct):
    v3: Annotated[Vec3, normCheck(2.5, 1e-5)] # Vec3 with norm ~2.5, tolerance 1e-5

# This passes because the norm (approx 2.5) is within tolerance
a = V3norm(v3=np.array([0.0, 2.5 + 1e-6, 0.0]))

# This fails because the norm (approx 2.5 + 1e-4) exceeds the tolerance
# V3norm(v3=np.array([0.0, 2.5 + 1e-4, 0.0]))

Versioning#

The DataStruct class provides a built-in mechanism for tracking changes over time using a version field. This allows one to manage backward compatibility, automatically upgrade older versions if desired, and flag breaking changes.

The version field is defined as a 2-integer tuple. This tuple adheres to a common semantic versioning pattern to differentiate between types of changes.

The first number in the tuple represents the major version. A change in the major version typically indicates breaking changes that are not backward compatible. When a major version mismatch occurs (e.g., trying to load a 1.x version when the current is 2.x), it usually necessitates an error, as automatic upgrades cannot be done without user intervention. For example, suppose there is a DataStruct with a new field added called new_field with no default. Further, suppose there is no good way to choose a default for this field for users. In this case, user intervention is required to choose the right value, and this is not backward compatible. The major version number should be incremented, and encountering older versions should trigger an error with a message or link to documentation that describes what the new_field is and how users might choose the right value and upgrade their DataStruct.

The second number in the tuple represents the minor version. Changes to the minor version are backward compatible. This means that an older minor version (e.g., 1.1) can often be automatically updated or migrated to a newer minor version (e.g., 1.2) without data loss or functional issues. For example, suppose there is a DataStruct that gains a new field called new_field with a default value of 3.0. This is backwards compatible as older versions of this DataStruct can just use the new field with the new default. It is still a good idea to trigger a warning to users in this case letting them know this is happening. Furthermore, providing a way for them to upgrade, e.g., add this new_field and step up the version so they don’t see the warning again, is helpful. This can often be accomplished by suggesting they use toFile to save the automatically upgraded version of the DataStruct to wherever they are currently loading it from.

Setting the current version#

The DataStruct class defines a _version_default class variable that holds the default version. To set the current, expected version for a class derived from DataStruct, override this _version_default class variable.

from Karana.KUtils.DataStruct import DataStruct
from typing import ClassVar

class MyData(DataStruct):
    # Set the current expected version for this data structure.
    # This overrides the (0, 0) default inherited from DataStruct.
    _version_default: ClassVar[tuple[int, int]] = (1, 0)
    # ... other fields
Version validators#

To implement the logic for handling different versions (issuing warnings, raising errors, or performing automatic upgrades), you should use Pydantic’s field_validator or model_validator.

A field_validator can validate the version field itself and trigger warnings or errors. However, a field_validator cannot modify other variables of the class, so it cannot be used for automatic upgrades.

Below is an example of a field_validator used for version checking and issuing warnings/errors:

from typing import ClassVar
from pydantic import field_validator
from Karana.Core import error, warn
from Karana.KUtils.DataStruct import DataStruct

class A(DataStruct):
    @field_validator("version", mode="after")
    @classmethod
    def _validateVersion(cls, version: tuple[int, int]) -> tuple[int, int]:
        """Validate the version.
        This cannot modify other variables of the class.

        Parameters
        ----------
        version : tuple[int, int]
            The version.

        Returns
        -------
        version : tuple[int, int]
            The validated version.
        """
        if version == cls._version_default:
            # Early out for most common case where version matches the default.
            return version
        elif version < cls._version_default:
            # Trigger a warning for older, potentially compatible versions.
            warn(
                f"Got version {version} which is less than the current version {cls._version_default}."
            )
        else:
            # Trigger an error for newer, potentially incompatible versions.
            raise ValueError(f"Got version {version} which is greater than the current version {cls._version_default}.")

        # Return the validated version
        return version

# Example usage illustrating the field validator's behavior:
a = A(version=(0, -1)) # This will trigger a warning
b = A(version=(1, 0))  # This will trigger an error

For more complex logic, especially when there is a need to upgrade other fields based on a version mismatch, one should use a model_validator. A model_validator gets access to the full model instance (self), allowing it to modify other fields. This is ideal for implementing automatic backward-compatible upgrades.

Below is an example of a model_validator that performs automatic upgrades:

from typing import Self, ClassVar
from pydantic import model_validator
from Karana.Core import error
from Karana.KUtils.DataStruct import DataStruct

class B(DataStruct):
    # Suppose this is a newly added field in 1.1 (from 1.0).
    f: int = 3
    g: int

    # This class now sets its _version_default to (1, 1) overriding the (0, 0) default from DataStruct.
    _version_default: ClassVar[tuple[int, int]] = (1, 1)

    @model_validator(mode="after")
    def _validateVersion(self) -> Self:
        """Validate the version.

        This is a model validator, so it gets access to the full model. This can be used to upgrade other
        fields based on a version mismatch.

        Returns
        Self
            self after validation.
        """
        if self.version == self._version_default:
            # Early out if the version matches the current default.
            return self

        if self.version < self._version_default:
            # This block handles backward-compatible upgrades (typically minor version changes)
            # or raises an error for major version downgrades.
            if self.version[0] < self._version_default[0]:
                # If the major version is older, this is considered a breaking change.
                raise ValueError("Major version change. Cannot handle! To upgrade please do <insert steps here>.")
            else:
                # If only the minor version is older, an automatic, backward-compatible upgrade is possible.
                print("Automatic upgrade. Backward compatible. Add a message telling the user this has been done and what to do to avoid this warning in the future.")

                # Do the upgrade. Here our example upgrade sets g = f.
                self.g = self.

        if self.version > self._version_default:
            # Should not get a nonexistent future version. Trigger an error.
            raise ValueError(f"Got version {self.version}, which is a nonexistent future version.")

        return self

Equality and approximate equality (isApprox())#

DataStruct instances support both strict equality checking with the usual == operator and approximate equality checking via the isApprox method. These methods recurse through the composite data types, e.g., a field that is a list of other DataStruct s.

Consider the following example with nested DataStruct instances and numpy arrays:

from Karana.KUtils.DataStruct import DataStruct
from Karana.KUtils.Ktyping import Vec3
from copy import deepcopy
import numpy as np

class A(DataStruct):
    a: int
    b: str = "hello"
    c: int

class B(DataStruct):
    a: dict[str, list[list[A] | A]]
    a2: dict[str, dict[str, int | tuple[A, A] | Vec3]]

a1 = A(a=3, b="hello", c=4)
a2 = A(a=3, b="hello", c=4)
b1 = B(a={"1": [[a1, a2], a1], "2": []}, a2={"3": {"3.1": 3, "3.2": (a1, a2), "3.3": np.zeros(3)}})

b2 = deepcopy(b1)
b2.a2["3"]["3.3"] += 2e-8 # Introduce a small difference in a numpy array element

# These two differ by 2e-8, so isApprox passes with prec=1e-7
assert b1.isApprox(b2, prec=1e-7)

# These two still differ by 2e-8, so isApprox fails with prec=1e-8
assert not b1.isApprox(b2, prec=1e-8)

# In their current state, b1 and b2 are not strictly equal
assert b1 != b2

# After making b2 a fresh deepcopy of b1, they are strictly equal
b2 = deepcopy(b1)
assert b1 == b2

Saving to and loading from files#

DataStruct provides convenient methods for saving to files, the toFile method, and for loading the data back, the fromFile method. The file type is determined by the file name’s suffix. Currently, the supported formats are json, yaml, pickle, and h5.

Meta data#

When a DataStruct is saved to a file, meta data is saved with it. This is saved in the form of the Karana.KUtils.DataStruct.Meta DataStruct. This data is provided via the meta keyword argument to the toFile method. If this keyword argument is not supplied, then default Karana.KUtils.DataStruct.Meta data will be generated automatically. One can add more information to the Karana.KUtils.DataStruct.Meta class if desired by deriving a new class from Meta and adding fields said new class.

When loading data using the fromFile method, the Meta data can be returned in addition to the DataStruct being loaded by setting the get_meta keyword argument to True. See the fromFile method for more details.

Custom class handling#

In order to save/load a DataStruct, all fields need to be serialized. In most cases, a DataStruct ‘s fields will be serializable without any changes. However, for custom classes, e.g., Karana.Math.UnitQuaternion, small modifications need to be made. Custom classes define certain methods in order to be serialized, and for yaml and json, must also be registered with the appropriate saver/loader. The classes in kdFlex that are often used, e.g., UnitQuaternion and SpatialVector, already have the methods defined. If saving/loading from a pickle or h5 file, then nothing needs to be done, and if saving/loading from yaml or json all one must do is register them with the appropriate saver/loader.

YAML#

This example shows saving and loading a class that uses UnitQuaternion and SpatialVector. These classes already have to_yaml and from_yaml defined, so serialization and deserialization is handled automatically.

import numpy as np
from Karana.KUtils.DataStruct import DataStruct
from Karana.Math import UnitQuaternion, SpatialVector

class YamlInOut(DataStruct):
    a1: UnitQuaternion = UnitQuaternion(0.5, 0.5, 0.5, 0.5)
    a2: SpatialVector = SpatialVector(np.array([1-3]), np.array([4, 6, 8]))

# Example usage:
dark = YamlInOut()
dark.toFile("example.yaml")
loaded_dark = YamlInOut.fromFile("example.yaml")
assert loaded_dark == dark

For examples of how to write the to_yaml and from_yaml methods, see Karana.Math._Math_Py.py.

JSON#

This example shows saving and loading a class that uses UnitQuaternion and SpatialVector. These classes already have to_json and from_json defined, so serialization and deserialization is handled automatically.

import numpy as np
from Karana.KUtils.DataStruct import DataStruct
from Karana.Math import UnitQuaternion, SpatialVector

class JsonInOut(DataStruct):
    a1: UnitQuaternion = UnitQuaternion(0.5, 0.5, 0.5, 0.5)
    a2: SpatialVector = SpatialVector(np.array([1-3]), np.array([4, 6, 8]))

# Example usage:
dark = JsonInOut()
dark.toFile("example.json")
loaded_dark = JsonInOut.fromFile("example.json")
assert loaded_dark == dark

For examples of how to write the to_json and from_json methods, see Karana.Math._Math_Py.py.

Pickle and H5#

To save/load from a pickle or h5 file, the class need only be picklable. This means that its __getstate__ and __setstate__ must be defined. Nothing needs to be done on the DataStruct itself, the class just needs to define these methods.

File I/O Examples#

DataStruct comes pre-loaded with support for numpy arrays and quantities.Quantity s when saving to and loading from files. Custom classes can be registered as described above. It also automatically supports composite types, e.g., embedded DataStruct instances, lists of dictionaries of numpy arrays, etc.

Here’s an example demonstrating saving and loading an instance of A (a DataStruct containing Mass and Length3 types) to a YAML file:

from pathlib import Path
from Karana.KUtils.Ktyping import Mass, Length3
from Karana.KUtils.DataStruct import DataStruct
import numpy as np
from tempfile import NamedTemporaryFile

class A(DataStruct):
    m: Mass
    l3: Length3

a = A(m=3.0, l3=np.zeros(3)) # Create an instance

tf = NamedTemporaryFile(suffix=".yaml") # Create a temporary YAML file
p = Path(tf.name)

a.toFile(p) # Save the DataStruct to the file
b = A.fromFile(p) # Load it back

assert a == b # Verify equality

Additionally, DataStruct instances can be saved to and loaded from an h5py group within an HDF5 file.

import h5py
from Karana.KUtils.DataStruct import DataStruct
from tempfile import NamedTemporaryFile
import numpy as np

class A(DataStruct):
    x: float = 3.0
    y: str = "hi"

class B(DataStruct):
    a3: dict[str, A | int]

# Create a sample B instance
a1 = A(x=1.0, y="1")
b = B(a3={"5": a1, "6": 3})

tf = NamedTemporaryFile(suffix=".h5")
with h5py.File(tf.name, "r+") as f:
    g = f.create_group("new_group") # Create an HDF5 group
    b.toFile(g) # Save the DataStruct to the group
    b_new = B.fromFile(g) # Load it back from the group
    assert b == b_new

NestedBaseMixin#

The NestedBaseMixin provides a way to deserialize nested Pydantic classes, where the nested class is a base class and subclasses may be provided, e.g., BodyDS in BodyWithContextDS from Karana.Dynamics.SOADyn_types. The NestedBaseMixin should be added as a mixin to the base class (BodyDS in the example with BodyWithContextDS). The string provided to NestedBaseMixin will be the name of the field that is added to the base class and all of its derived classes by the mixin, and it is used to track the actual class type used. pydantic ‘s SerializeAsAny should always be used when the NestedBaseMixin is used, so that the correct type is serialized as well. SerializeAsAny is essentially duck-type serialization as opposed to strict-type serialization.

Below is an example of how NestedBaseMixin is used:

from pydantic import SerializeAsAny
from Karana.KUtils.DataStruct import DataStruct, NestedBaseMixin

class Base(DataStruct, NestedBaseMixin("type_name")):
    a: int = 3

class D1(Base):
    b: int = 4

class D2(Base):
    c: int = 5

class Test(DataStruct):
    l: list[SerializeAsAny[Base]] = []

t = Test(l=[D1(b=0), D2(c=0), Base(a=1)])

t.toFile("test.yaml")

assert Test.fromFile("test.yaml") == t

To/From DataStruct and Dictionary#

Converting DataStruct instances to and from standard Python dictionaries is straightforward. To convert a DataStruct instance to a dictionary, use the model_dump method:

my_dict = my_data_struct.model_dump()

To create a DataStruct instance from a dictionary, use the ``** dictionary unpacking operator:

my_data_struct = MyDataStruct(**my_dict)

IdMixin#

The Karana.KUtils.DataStruct.IdMixin class is used to track objects that have been created from DataStructs. This associates the objects created via the DataStructs with the unique ID of the original object used to create the DataStruct. It is the responsibility of the class using the IdMixin to set the _id when a DataStruct is created from an object, and to call the addObjectFromId when an object is created from a DataStruct.

Here is a simple example:

from Karana.KUtils.DataStruct import DataStruct, IdMixin
from Karana.Core import Base

class C1(Base):
    def __init__(self):
        super().__init__("c1")
        self.x = 3.0

    def toDS(self) -> "C1DS":
        c1_ds = C1DS(x=self.x)
        c1_ds._id = self.id()
        return c1_ds

    @staticmethod
    def fromDS(c1_ds: "C1DS") -> "C1":
        return c1_ds.toC1()

class C1DS(DataStruct, IdMixin[C1]):
    x: float

    def toC1(self) -> C1:
        obj = C1()
        obj.x = self.x
        self.addObjectFromId(obj)
        return obj

In this example, the toDS method sets the _id member whenever a C1DS is created from an object, and the toC1 method calls the getObjectsCreatedById method whenever an object is created from a C1DS. The IdMixin class does the bookkeeping so that one can lookup any C1 objects that were created from any C1DS with a specific id. For example,

class C2(Base):
    def __init__(self, c1: C1):
        super().__init__("c2")
        self.c1 = c1
        self.y = 5.0

    def toDS(self) -> "C2DS":
        c2_ds = C2DS(y=self.y, c1=self.c1.id())
        c2_ds._id = self.id()
        return c2_ds

    @staticmethod
    def fromDS(c2_ds: "C2DS") -> "C2":
        return c2_ds.toC2()


class C2DS(DataStruct, IdMixin[C2]):
    c1: int
    y: float

    def toC2(self) -> C2:
        """Use global lookup method."""
        c1 = self.getObjectsCreatedById(self.c1)
        if c1 is None:
            raise ValueError("Cannot find C1 object")
        else:
            obj = C2(cast(C1, c1[0]))
            obj.y = self.y
            self.addObjectFromId(obj)
            return obj

The toC2 method on C2DS looks for instances of C1 that was created by any C1DS instance with a specific id. For example, they could be called like this:

# Code that loads c1_ds of type C1DS and c1_ds of type C2DS from a file
c1 = c1_ds.toC1()
c2 = c2_ds.toC2()

assert c2.c1 is c1

This was a simple standalone example. A more complex example using real simulation objects is shown in the KModel DataStructs section, where a KModel’s DataStruct uses IdMixin to find nodes on physical bodies for use when creating an instance of the KModel from the DataStruct.

Asciidoc Generation#

DataStruct instances can generate their own asciidoc documentation using the generateAsciidoc method. This method returns a string containing the asciidoc data, which can then be written directly to an asciidoc file.

For example, if you have a DataStruct class named A, you can generate its documentation as follows:

# Let A be a DataStruct class and "a" be an instance of class A
class A(DataStruct):
    """
    Parameters
    ----------
    a : int
        Description for a.
    b : str
        b is a string.
    c : Annotated[int, Field(gt=0)]
        Positive integer.
        I'm a long description.
    d : float
        I'm a float.
    """

    a: int
    b: str = "hello"
    c: Annotated[int, Field(gt=0)]
    d: float = 2.2
a = A(a=3, b="hello", c=4)
with open("A_doc.asciidoc", "w") as f:
    f.write(a.generateAsciidoc())

Units and Quantities#

The Kquantities module is designed to provide common quantities used throughout simulations and includes helper functions for unit conversion. It also offers functionalities to define and set a units system, with SI (International System of Units) as the default. This module acts as a simple wrapper around the Python pint package.

What units and quantities are#

A quantity refers to a type of unit like length, force, etc. The unit is a specific instance of quantity, e.g., for the length quantity the units could be meters, feet, inches, etc. The Kquantities module defines several standard physical quantities as module-level variables. These are re-calculated internally to reflect the currently set units system. A few examples include:

  • length

  • mass

  • time

  • velocity

check() and to_base_units()#

One can import these predefined quantities directly from Karana.KUtils.Kquantities. These imported quantities can be used to check if a value is of that quantity type using the check method.

Example of check() usage:

from Karana.Math.Kquantities import velocity, torque, ureg

v = 1.0 * ureg.m / ureg.s # Define a velocity
t = 1.0 * ureg.N * ureg.m # Define a torque

# Check if 'v' is a velocity quantity
assert v.check(velocity) # True

# Check if 't' is not a velocity quantity
assert not t.check(velocity) # True

# Check if 't' is a torque quantity
assert t.check(torque) # True

# Check if 'v' is not a torque quantity
assert not v.check(torque) # True

All pint Quantitys also provides a to_base_units method to transform a given quantity into the units for the associated unit system.

Example of to_base_units usage:

from Karana.Math.Kquantities import ureg
import numpy as np

# Define a velocity and torque
v_si = 1.0 * ureg.mm / ureg.s
m_si = 1.0 * ureg.lb

# Convert them to the current (default SI) units system
converted_v = v_si.to_base_units() 
converted_m = m_si.to_base_units() 

# In the default SI system
assert converted_v.m == 0.001 # 1 mm/s = 0.001 m/s
assert np.round(converted_m.m, 8) == 0.45359237 # 1 lb = 0.45359237 kg

print(f"Converted velocity (SI): {converted_v}")
print(f"Converted torque (SI): {converted_m}")

Changing the units system#

The units system can be modified using the setUnitRegistry function. This function allows for setting a units system using pint’s UnitRegistry. This should be done before ureg is ever imported from or used from Kquantities.

Example of setUnitRegistry usage and its effect on conversion:

from pint import UnitRegistry
from Karana.Math.Kquantities import setUnitRegistry, velocity, torque

# Change the length unit to centimeters and mass to grams. 
# This should be done before importing ureg.
setUnitRegistry(UnitRegistry(system="cgs"))

from Karana.Math.Kquantities import ureg

# Convert the original quantities again. The underlying units system has changed.
v = 1.0 * ureg.m / ureg.s
t = 1.0 * ureg.N * ureg.m
v_converted_cm = v.to_base_units()
t_converted_cm = t.to_base_units()

# A velocity of 1 m/s becomes 100 cm/s.
# A torque of 1 N*m (kg*m^2/s^2) becomes kg * m^2 / s^2 * (100 cm)^2 / m^2 * (1000 g) / kg = 10^7 kg * cm^2 / s^2
print(f"After setting length to centimeters:")
print(f"  Velocity: {v} converted to {v_converted_cm} (Expected: 1000.0)")
print(f"  Torque: {t} converted to {t_converted_cm} (Expected: 10,000,000.0)")
assert v_converted_cm.m == 1e2 # 1 m/s = 1000 cm/s
assert t_converted_cm.m == 1e7 # 1 N*m = 10^7 g*cm^2/s^2

Var#

The Var class (short for variable) can be thought of as a container that holds a value that can change over time. These containers are convenient, as they provide a common interface for logging and plotting. The value that the Var holds is produced by a callable that is passed in at construction. This callable is invoked each time the Var is read. In practice, think of a Var as a live variable that can be queried at any simulation step. The callable provided can compute the value from the simulation state, read a sensor, simply return a constant, etc.

All objects derived from Base have a vars member. This member holds Vars of interest for the class. For example, the mass Var on PhysicalBody.vars contains the current mass of the Karana.Dynamics.PhysicalBody.

Var itself cannot be created directly. Rather, a typed version of Var must be created. In C++, this is done via the templatized Karana::Var::Var_T class. In Python, the common Var types are wrapped with the type name given after the word “Var”, e.g., VarDouble for Vars with a double return type, or VarVec for Vars that return a Karana::Math::Vec.

Variable sized Var objects, e.g., for Karana::Math::Vec, must always return the same-sized type. The size is specified as a constructor argument. See below for examples.

Creating Var objects#

As mentioned above, all objects derived from Base have a vars member. Hence, oftentimes, the Vars one is interested in have already been created and exist on the vars member of some class. However, there are times when this is not the case and one wants to create a custom Var.

In C++, a Karana::Var::Var_T can be created as follows:

#include <Karana/Var/Var_T.h>
auto my_var = Karana::Var::Var_T<double>::create(
    "temperature",
    []() { return 298.15; }   // function that returns a constant value
);

auto my_var_2 = Karana::Var::Var_T<km::Vec>::create(
    "my_vec",
    []() { 
        km::Vec dark(5);
        dark << 0, 1, 2, 3, 4;
    },   // function that returns a constant vector of size 5
    5
);

In Python, the process is similar:

import numpy as np
from Karana.KUtils import VarDouble, VarVec

# Constant, scalar value
my_var = VarDouble("temperature", lambda: 298.15)

# Constant, vector value
my_var_2 = VarVec("my_vec", lambda: np.linspace(0,4,5), 5)

Retrieving the value#

In both C++ and Python, the () operator can be used to retrieve the value. For example, in C++

double my_val = my_var()

and in Python

my_val = my_var()

Using Vars for logging and plotting#

Vars can be used for both logging and plotting. For logging, the PacketTableConfig.addData methods have overloads that support Vars. Similarly, for plotting, the SinglePlotData constructors allow Vars. For more details on how the PacketTableConfig class is used for logging see the Data logging section. For more details on how the SinglePlotData is used for plotting, see the Plotting recipe.

Logging#

The logger in KCore is used to display messages to the user. Each message comes with a level called the verbosity level. The user can set verbosity level of the logger to hide messages they don’t want to see. The verbosity levels, in order, are: off, error, warn, info, debug, and trace. If a logger has a verbosity level set to info, but a message is being sent with verbosity debug, then the logger won’t even print the message.

The Logger class in KCore has the ability to send messages to multiple loggers, e.g., the terminal output and to a file. Each logger can have its own verbosity. The verbosity levels can be modified by using Logger.changeVerbosity.

By default, there is only one logger, the logger to the terminal. The terminal logger special as it is actually comprised of two loggers: one to stderr and one to stdout. These use some custom verbosity settings, which are covered below. The names of these loggers are stderr and stdout. The default logging level of stdout can be set by the environment variable KARANA_LOG_LEVEL. The value of this variable should be the verbosity level desired in all capital letters, e.g., KARANA_LOG_LEVEL=INFO for info. If this variable is not set or does not match any known level, then warn is used.

A file logger can be created using Logger.addFileLogger. The name of the logger will be the name of the file.

stdout/stderr#

We have separate loggers for stdout and stderr. These loggers are custom, they do not follow the normal verbosity rules. That is because we want to treat them as if they were one logger. We want everything error and above to be printed to stderr and we want everything warn and below to be printed to stdout. Of course, one can still set the verbosity levels of these loggers. For example, setting the stdout verbosity to error, means it will not print anything, because it can’t print anything above a warn, but its verbosity level is error, so it can’t print anything below an error.

Minimizing work#

We want to minimize the work we do if messages will not be consumed. This issue is aimed mostly at debug and trace messages, which can be time-consuming to create and print. For example,

// Work starts here to construct the debug string here
double x = my_complicated_method()
std::string y = my_time_consuming_method();
std::string debug_msg = std::format("debug string for double {}. See {}.", x, y);
debug(debug_msg);

If no sinks are consuming said messages, we don’t even want to do the work to form them, i.e., we want to avoid doing the work to create x and y in the example above. As a result, the error, warn, info, debug, and trace functions are all overloaded to accept a std::function<std::string(void)> (or Callable[[], str] in Python). The std::function version first checks the minimum level of all the sinks, if no sink is going to be consuming the message, we don’t even bother to run the function. If at least one sink will consume the result, then we run the std::function to generate the string and pass it on to the loggers like usual. Using the example above, this would look like

debug([&](){
    double x = my_complicated_method()
    std::string y = my_time_consuming_method();
    std::string debug_msg = std::format("debug string for double {}. See {}", x, y);
    return debug_msg;
})

In Python, this would look like:

def debug_msg():
    x = my_complicated_method()
    y = my_time_consuming_method()
    return f"debug string for float {x}. See {y}"
debug(debug_msg)

If you are writing messages in C++, and that message is just a format string, you can use the format version of these messages. For example,

error("My error with a number '{}'", 3.0)

as opposed to

std::string str = std::format("My error with a number '{}'", 3.0);
error(str)

Deprecated#

There is a deprecated function that can be used to print deprecation messages. This prints messages at the warn verbosity level. It takes in extra arguments

  • name - The name of the thing being deprecated.

  • date - The date that name will be removed.

in addition to the normal message, which should specify how users should update the thing being deprecated.

In C++, things should be deprecated by using the [[deprecated]] attribute. This will give users a message at compile time letting them know they are using a deprecated function.

If the C++ function is used by pybind11 to expose it to Python, then the deprecatedWrapper from Karana/KCore/pybind11Utils.h should be used to wrap the method. This will print a deprecation warning on the Python side, with a Python stack trace, whenever that function is used.

In Python, the same deprecated function exists. However, it can also be used as a decorator like this:


@deprecated(date(2025, 4, 25), "old_f is deprecated. Use new_f instead")
def old_f():
    ...

The name parameter is not required when using the decorator version, since the name is calculated automatically based on the name of the function, class, etc. being deprecated. Both the deprecated function and decorator will automatically append the deprecated message with a stack trace so users can easily update their code.

DebugManager#

The Karana.Core.DebugManager class holds static variables used to control extra debugging behavior. These are:

  • all_destroyed_verbosity - Controls the number of objects printed when calling all destroyed, if there are undestroyed objects. A value of nullopt in C++ or None in Python will print all undestroyed objects.

  • enable_locking_trace - This will enable the LockingBase trace output. Enabling this will print messages whenever a LockingBase is made healthy or not healthy. It will also print messages when new dependents are added. This affects all LockingBase s.

  • enable_usage_tracking_map_errors - Setting this to false will disable the usage tracking map errors. Use this with caution, as disabling this can allow memory leaks that would otherwise be caught. This should only be used in cases where the user is stuck and cannot move forward without assistance, but cannot wait for assistance, i.e., this is a sort of escape hatch to ignore cleanup related issues, but should only be used temporarily.

Data logging#

The DataLogger class provides a convenient way to record data into HDF5 files, leveraging packet tables to efficiently append data to the files throughout the simulation. This system is built around two primary components: the PacketTableConfig and the H5Writer.

Setting up your data logger#

The process of logging data involves these steps:

  1. Define your data structure using PacketTableConfig instances for each table you wish to create.

  2. Initialize the logger by creating an H5Writer instance.

  3. Register your data configurations by calling createTable on the H5Writer for each PacketTableConfig.

  4. Log your data by invoking the log method on your H5Writer.

Defining data with PacketTableConfig#

The PacketTableConfig class is used to register functions that will produce data for the columns of your HDF5 packet table. Each PacketTableConfig represents a single table in your HDF5 file. You instantiate it by providing a name, which can include forward slashes (/) to specify a group hierarchy within the HDF5 file; groups will be created as needed.

Example: Creating a PacketTableConfig

C++:

auto c = Karana::KUtils::PacketTableConfig::create("data");
// Or for nested groups
auto c2 = Karana::KUtils::PacketTableConfig::create("mygroup/inner_group/data");

Python:

from Karana.KUtils import PacketTableConfig

c = PacketTableConfig("data")
c2 = PacketTableConfig("mygroup/inner_group/data")

Once a PacketTableConfig is made healthy, its configuration cannot be changed, as the types become fixed at that time for the table. Attempting to modify it afterward will result in an error.

Adding data columns (the addData() methods)#

To specify what data goes into each column of your table, you use the addData methods of PacketTableConfig. These methods generally require two main arguments:

  • A name for the column.

  • A callable function (f) that takes no arguments and returns the data for that column.

The addData methods handle various data types, including scalars, dynamic vectors/matrices, and fixed-size Eigen types. For basic scalar types (like int, double), the C++ addData method automatically deduces the return type of the provided function.

Example: Adding basic scalar data

C++:

int x = 0;
double y = 3.2;
double t = 0.0;

c->addData("time", [&t]() { // Returns double
    t += 0.1;
    return t;
});

c->addData("int", [&x]() { // Returns int
    x += 2;
    return x;
});

c->addData("double", [&y]() { // Returns double
    y += 0.6;
    return y;
});

In Python, due to dynamic typing, separate addData methods are provided for different return types (e.g., addDataInt, addDataFloat).

Python:

t = 0.0
def time():
    global t
    t += 0.1
    return t
c.addDataFloat("time", time) # Use addDataFloat for float return type

i = 1
def int_f() -> int:
    global i
    i += 1
    return i
c.addDataInt("int", int_f) # Use addDataInt for integer return type
Dynamic vectors and matrices#

For dynamic vectors and matrices (e.g., Karana::Math::Vec, Karana::Math::Mat in C++ or NumPy arrays in Python), you must provide extra integer arguments to specify the size of the vector or the rows and columns of the matrix.

Example: Adding dynamic vector/matrix data

C++:

km::Vec v(2); // Dynamic vector of size 2
v.setZero();
km::Mat m(2, 3); // Dynamic matrix of size 2x3
m.setZero();

c->addData(
    "vec",
    [&v]() {
        v[0] += 1.0;
        v[1] += 2.0;
        return v;
    },
    2); // Specify vector_size = 2

c->addData(
    "mat",
    [&m]() {
        m(0, 0) += 1.0;
        return m;
    },
    2, // Specify matrix_rows = 2
    3); // Specify matrix_cols = 3

Python:

import numpy as np

v = np.zeros(2) # Dynamic NumPy array (vector)
def vec():
    global v
    v[0] += 1.0
    v[1] += 2.0
    return v
c.addData("vec", vec, 2) # Specify vector size = 2

m = np.zeros((2, 3)) # Dynamic NumPy array (matrix)
def mat():
    global m
    m[0,0] += 1.0
    return m
c.addData("mat", mat, 2, 3) # Specify matrix_rows = 3, matrix_cols = 2
Fixed-size eigen types#

For fixed-size Eigen vectors and matrices in C++, special addData overloads exist that infer dimensions directly from the Eigen type, so you don’t need to provide explicit size arguments. However, these require the Eigen type to have a fixed size; attempting to use a dynamically sized Eigen type without specifying dimensions will trigger a static assertion error.

Example: Adding fixed-size eigen data

C++:

km::Vec3 v3{1.0, 2.0, 3.0}; // Fixed-size 3D vector
km::Mat33 m3; // Fixed-size 3x3 matrix
m3.setZero();

c->addData("vec3", [&v3]() {
    v3[0] += 0.6;
    v3[1] += 1.0;
    return v3;
}); // Dimensions inferred from km::Vec3

c->addData("mat33", [&m3]() {
    m3(0, 0) += 0.6;
    return m3;
}); // Dimensions inferred from km::Mat33
Logging vectors/matrices as scalars (the as_scalars option)#

For both dynamic and fixed-size vectors and matrices, an optional as_scalars boolean argument can be set to true. When as_scalars is true, each component of the vector or matrix is logged as a separate scalar column in the packet table, rather than the entire vector/matrix being stored in a single column.

The column names are appended with _X for vector components (where X is the index) or _X_Y for matrix components (where X is the row index and Y is the column index).

Example: Logging as scalars

C++:

// Using fixed-size Eigen types as scalars
c->addData(
    "vec3s",
    [&v3]() {
        v3[0] += 0.6;
        v3[1] += 1.0;
        return v3;
    },
    true); // Logs as "vec3s_0", "vec3s_1", "vec3s_2"

c->addData(
    "mat33s",
    [&m3]() {
        m3(0, 0) += 0.6;
        return m3;
    },
    true); // Logs as "mat33s_0_0", "mat33s_0_1", etc.

// Using dynamic types as scalars
c->addData(
    "vecs",
    [&v]() {
        v[0] += 1.0;
        v[1] += 2.0;
        return v;
    },
    2, // Vector size
    true); // Logs as "vecs_0", "vecs_1"

c->addData(
    "mats",
    [&m]() {
        m(0, 0) += 1.0;
        return m;
    },
    2, // Matrix rows
    3, // Matrix cols
    true); // Logs as "mats_0_0", "mats_0_1", etc.

Python:

# Vector as scalars
def vec():
    global v
    v[0] += 1.0
    v[1] += 2.0
    return v
c.addData("vec", vec, 2, as_scalars=True) # Logs as "vec_0", "vec_1"

# Matrix as scalars
m = np.zeros((2, 3))
def mat():
    global m
    m[0,0] += 1.0
    return m
c.addData("mat", mat, 2, 3, as_scalars=True) # Logs as "mat_0_0", "mat_0_1", etc.

Logging data with H5Writer#

The H5Writer class is responsible for managing your HDF5 file and its packet tables. It handles the creation of tables based on the PacketTableConfigs and facilitates the logging of data.

Example: Creating an H5Writer

You create an H5Writer by providing the desired filename for your HDF5 log file.

C++:

#include "Karana/KUtils/DataLogger.h"

auto h5 = Karana::KUtils::H5Writer::create("example.h5");

Python:

from Karana.KUtils import H5Writer

h5 = H5Writer("example.h5")
Creating and logging tables#

Once your H5Writer is initialized, you need to register your PacketTableConfig instances with it using the createTable method. This makes the tables “active” by default, meaning they will be logged when log() is called.

Example: Creating and logging tables

C++:

h5->createTable(c1); // Register the packet table config
h5->log(); // Log data for all active tables

Python:

h5.createTable(c) # Register the packet table config
h5.log() # Log data for all active tables

The log() method will iterate through all active tables and write their contents into the log file.

You can also log a specific table, regardless of its active status, using logTable.

Example: Logging a specific table

C++:

h5->logTable("mygroup/data")

Python:

h5.logTable("mygroup/data")
Managing active tables#

The H5Writer also provides methods to manage which tables are actively logged:

  • activateTable(name): Activates a table by its name.

  • deactivateTable(name): Deactivates a table by its name, preventing it from being logged by log().

  • getActiveTableNames(): Returns a vector/list of names of all currently active tables.

  • getTableNames(): Returns a vector/list of names of all registered tables (active or inactive).

Example: Managing active tables

C++:

h5->deactivateTable("mygroup/inner_group/data")
h5->log() // Only active tables will be logged

h5->deactivateTable("mygroup/data")
h5->logTable("mygroup/data") // Log this specific table even if inactive

h5->activateTable("mygroup/data")
h5.log() // Now "mygroup/data" will be logged again by log()

Python:

h5.deactivateTable("mygroup/inner_group/data")
h5.log() # Only active tables will be logged

h5.deactivateTable("mygroup/data")
h5.logTable("mygroup/data") # Log this specific table even if inactive

h5.activateTable("mygroup/data")
h5.log() # Now "mygroup/data" will be logged again by log()

DataLogger model#

During a simulation, we oftentimes want data to be logged regularly. The DataLogger from GeneralKModels is designed to do just that.

Example: DataLogger model

C++:

dl = Karana::Models::DataLogger::create("wsm", h5_writer)
dl->params.log_first_step = True
dl->setPeriod(0.1)

// Must register this with the StatePropagator for it to have any effect
sp.registerModel(dl)

Python:

# Create the DataLogger model
dl = DataLogger("wsm", h5_writer)
dl.params.log_first_step = True
dl.setPeriod(0.1)

# Must register this with the StatePropagator for it to have any effect
sp.registerModel(dl)

The example above shows creating a DataLogger model that will call log on the h5_writer (this is an H5Writer instance) every 0.1 seconds. The log_first_step parameter can be used to also create a log entry at the current time, e.g., when starting a simulation, this will log the data at 0 seconds, rather than the first data entry being at 0.1 seconds.

Examples#

Further examples can be found below. All filepaths are given relative to the installation directory, /usr for Linux and /opt/homebrew/ for macOS.

  • Example data logging Python notebook - Simple data logging example done in Python

  • Example data logging C++ - An example is included with your installation at share/Karana/Tutorials/example_cc/example_data_logging that shows the same data logging, but done entirely in C++.

  • Example data logging C++, setup in Python - An example is included with your installation at /share/Karana/Tutorials/example_cc/example_data_logging_pybind11 that shows you can set up a simulation and DataLogging in Python, but have the data logging functions themselves be entirely in C++. This is the best-of-both-worlds example, where you still have the runtime performance as is everything was done in C++, but you can set things up in Python.